13  Human Computer Interaction Experiments

Following are my course notes from a 2018 Coursera course called Designing, Running, and Analyzing Experiments, taught by Jacob Wobbrock, a prominent HCI scholar. Note that Wobbrock is in no way responsible for any errors or deviations from his presentation.

These course notes are an example of reproducible research and literate programming. They are reproducible research because the same file that generated this html document also ran all the experiments. This is an example of literate programming in the sense that the code, pictures, equations, and narrative are all encapsulated in one file. The source file for this project, along with the data files, are enough for you to reproduce the results and reproduce the documentation. All the source material is available in my github account, although in an obscure location therein.

source('include.R')
── Attaching core tidyverse packages ──────────────────────── tidyverse 2.0.0 ──
✔ dplyr     1.1.4     ✔ readr     2.1.4
✔ forcats   1.0.0     ✔ stringr   1.5.1
✔ ggplot2   3.5.1     ✔ tibble    3.2.1
✔ lubridate 1.9.3     ✔ tidyr     1.3.1
✔ purrr     1.0.2     
── Conflicts ────────────────────────────────────────── tidyverse_conflicts() ──
✖ dplyr::filter() masks stats::filter()
✖ dplyr::lag()    masks stats::lag()
ℹ Use the conflicted package (<http://conflicted.r-lib.org/>) to force all conflicts to become errors
Loading required package: carData


Attaching package: 'car'


The following object is masked from 'package:dplyr':

    recode


The following object is masked from 'package:purrr':

    some



Attaching package: 'MASS'


The following object is masked from 'package:dplyr':

    select



Attaching package: 'rstatix'


The following object is masked from 'package:MASS':

    select


The following object is masked from 'package:stats':

    filter


Loading required package: mvtnorm

Loading required package: survival

Loading required package: TH.data


Attaching package: 'TH.data'


The following object is masked from 'package:MASS':

    geyser



Attaching package: 'coin'


The following objects are masked from 'package:rstatix':

    chisq_test, friedman_test, kruskal_test, sign_test, wilcox_test



Attaching package: 'reshape2'


The following object is masked from 'package:tidyr':

    smiths


Loading required package: emmeans

The 'lsmeans' package is now basically a front end for 'emmeans'.
Users are encouraged to switch the rest of the way.
See help('transition') for more information, including how to
convert old 'lsmeans' objects and scripts to work with 'emmeans'.

Loading required package: nlme


Attaching package: 'nlme'


The following object is masked from 'package:dplyr':

    collapse


This is mgcv 1.9-1. For overview type 'help("mgcv-package")'.

ℹ Google's Terms of Service: <https://mapsplatform.google.com>
  Stadia Maps' Terms of Service: <https://stadiamaps.com/terms-of-service/>
  OpenStreetMap's Tile Usage Policy: <https://operations.osmfoundation.org/policies/tiles/>
ℹ Please cite ggmap if you use it! Use `citation("ggmap")` for details.
options(readr.show_col_types=FALSE) # supress column type messages
pacman::p_load(tidyverse)
pacman::p_load(ggthemes)

13.1 How many prefer this over that? (Tests of proportions)

13.1.1 How many prefer website A over B? (One sample test of proportions in two categories)

Sixty subjects were asked whether they preferred website A or B. Their answer and a subject ID were recorded. Read the data and describe it.

source('include.R')
library(tidyverse)
library(ggthemes)
prefsAB <- read_csv(paste0("data","/prefsAB.csv"))
tail(prefsAB) # displays the last few rows of the data frame
# A tibble: 6 × 2
  Subject Pref 
    <dbl> <chr>
1      55 A    
2      56 B    
3      57 A    
4      58 B    
5      59 B    
6      60 A    
prefsAB$Subject <- factor(prefsAB$Subject) # convert to nominal factor
prefsAB$Pref <- factor(prefsAB$Pref) # convert to nominal factor
summary(prefsAB)
    Subject   Pref  
 1      : 1   A:14  
 2      : 1   B:46  
 3      : 1         
 4      : 1         
 5      : 1         
 6      : 1         
 (Other):54         
ggplot(prefsAB,aes(Pref)) +
  geom_bar(width=0.5,alpha=0.4,fill="lightskyblue1") +
  theme_tufte(base_size=7)

Is the difference between preferences significant? A default \(\chi^2\) test examines the proportions in two bins, expecting them to be equally apportioned.

To do the \(\chi^2\) test, first crosstabulate the data with xtabs().

#. Pearson chi-square test
prfs <- xtabs( ~ Pref, data=prefsAB)
prfs # show counts
Pref
 A  B 
14 46 
chisq.test(prfs)

    Chi-squared test for given probabilities

data:  prfs
X-squared = 17.067, df = 1, p-value = 0.00003609

We don’t really need an exact binomial test yet because the \(\chi^2\) test told us enough: that the difference is not likely due to chance. That was only because there are only two choices. If there were more than two, we’d need a binomial test for every pair if the \(\chi^2\) test turned up a significant difference. This binomial test just foreshadows what we’ll need when we face three categories.

#. binomial test
#. binom.test(prfs,split.table=Inf)
binom.test(prfs)

    Exact binomial test

data:  prfs
number of successes = 14, number of trials = 60, p-value = 0.00004224
alternative hypothesis: true probability of success is not equal to 0.5
95 percent confidence interval:
 0.1338373 0.3603828
sample estimates:
probability of success 
             0.2333333 

13.1.2 How many prefer website A, B, or C? (One sample test of proportions in three categories)

First, read in and describe the data. Convert Subject to a factor because R reads any numerical data as, well, numeric, but we don’t want to treat it as such. R interprets any data with characters as a factor. We want Subject to be treated as a factor.

prefsABC <- read_csv(paste0("data","/prefsABC.csv"))
head(prefsABC) # displays the first few rows of the data frame
# A tibble: 6 × 2
  Subject Pref 
    <dbl> <chr>
1       1 C    
2       2 C    
3       3 B    
4       4 C    
5       5 C    
6       6 B    
prefsABC$Subject <- factor(prefsABC$Subject)
prefsABC$Pref <- factor(prefsABC$Pref)
summary(prefsABC)
    Subject   Pref  
 1      : 1   A: 8  
 2      : 1   B:21  
 3      : 1   C:31  
 4      : 1         
 5      : 1         
 6      : 1         
 (Other):54         
par(pin=c(2.75,1.25),cex=0.5)
ggplot(prefsABC,aes(Pref))+
  geom_bar(width=0.5,alpha=0.4,fill="lightskyblue1")+
  theme_tufte(base_size=7)

You can think of the three websites as representing three bins and the preferences as filling up those bins. Either each bin gets one third of the preferences or there is a discrepancy. The Pearson \(\chi^2\) test functions as an omnibus test to tell whether there is any discrepancy in the proportions of the three bins.

prfs <- xtabs( ~ Pref, data=prefsABC)
prfs # show counts
Pref
 A  B  C 
 8 21 31 
chisq.test(prfs)

    Chi-squared test for given probabilities

data:  prfs
X-squared = 13.3, df = 2, p-value = 0.001294

A multinomial test can test for other than an even distribution across bins. Here’s an example with a one third distribution in each bin.

pacman::p_load(XNomial)
xmulti(prfs, c(1/3, 1/3, 1/3), statName="Prob")

P value (Prob) = 0.0008024

Now we don’t know which pair(s) differed so it makes sense to conduct post hoc binomial tests with correction for multiple comparisons. The correction, made by p.adjust(), is because the more hypotheses we check, the higher the probability of a Type I error, a false positive. That is, the more hypotheses we test, the higher the probability that one will appear true by chance. Wikipedia has more detail in its “Multiple Comparisons Problem” article.

Here, we test separately for whether each one has a third of the preferences.

aa <- binom.test(sum(prefsABC$Pref == "A"),
        nrow(prefsABC), p=1/3)
bb <- binom.test(sum(prefsABC$Pref == "B"),
        nrow(prefsABC), p=1/3)
cc <- binom.test(sum(prefsABC$Pref == "C"),
        nrow(prefsABC), p=1/3)
p.adjust(c(aa$p.value, bb$p.value, cc$p.value), method="holm")
[1] 0.001659954 0.785201685 0.007446980

The adjusted \(p\)-values tell us that A and C differ significantly from a third of the preferences.

13.1.3 How many males vs females prefer website A over B? (Two-sample tests of proportions in two categories)

Revisit our data file with 2 response categories, but now with sex (M/F).

prefsABsex <- read_csv(paste0("data","/prefsABsex.csv"))
tail(prefsABsex)
# A tibble: 6 × 3
  Subject Pref  Sex  
    <dbl> <chr> <chr>
1      55 A     M    
2      56 B     F    
3      57 A     M    
4      58 B     M    
5      59 B     M    
6      60 A     M    
prefsABsex$Subject <- factor(prefsABsex$Subject)
prefsABsex$Pref <- factor(prefsABsex$Pref)
prefsABsex$Sex <- factor(prefsABsex$Sex)
summary(prefsABsex)
    Subject   Pref   Sex   
 1      : 1   A:14   F:31  
 2      : 1   B:46   M:29  
 3      : 1                
 4      : 1                
 5      : 1                
 6      : 1                
 (Other):54                

Plotting is slightly more complicated by the fact that we want to represent two groups. There are many ways to do this, including stacked bar charts, side-by-side bars, or the method chosen here, using facet_wrap(~Sex) to cause two separate plots based on Sex to be created.

ggplot(prefsABsex,aes(Pref)) +
  geom_bar(width=0.5,alpha=0.4,fill="lightskyblue1") +
  facet_wrap(~Sex) +
  theme_tufte(base_size=7)

Although we can guess by looking at the above plot that the difference for females is significant and the difference for males is not, a Pearson chi-square test provides some statistical evidence for this hunch.

prfs <- xtabs( ~ Pref + Sex, data=prefsABsex) # the '+' sign indicates two vars
prfs
    Sex
Pref  F  M
   A  2 12
   B 29 17
chisq.test(prfs)

    Pearson's Chi-squared test with Yates' continuity correction

data:  prfs
X-squared = 8.3588, df = 1, p-value = 0.003838

13.1.4 What if the data are lopsided? (G-test, alternative to chi-square)

Wikipedia tells us that the \(G\)-test dominates the \(\chi^2\) test when \(O_i>2E_i\) in the formula

\[\chi^2=\sum_i \frac{(O_i-E_i)^2}{E_i}\]

where \(O_i\) is the observed and \(E_i\) is the expected proportion in the \(i\)th bin. This situation may occur in small sample sizes. For large sample sizes, both tests give the same conclusion. In our case, we’re on the borderline for this rule in the bin where 29 females prefer B. All females would have to prefer B for the rule to dictate a switch to the \(G\)-test.

pacman::p_load(RVAideMemoire)
G.test(prfs)

    G-test

data:  prfs
G = 11.025, df = 1, p-value = 0.0008989
#. Fisher's exact test
fisher.test(prfs)

    Fisher's Exact Test for Count Data

data:  prfs
p-value = 0.001877
alternative hypothesis: true odds ratio is not equal to 1
95 percent confidence interval:
 0.009898352 0.537050159
sample estimates:
odds ratio 
 0.1015763 

13.1.5 How many males vs females prefer website A, B, or C? (Two-sample tests of proportions in three categories)

Revisit our data file with 3 response categories, but now with sex (M/F).

prefsABCsex <- read_csv(paste0("data","/prefsABCsex.csv"))
head(prefsABCsex)
# A tibble: 6 × 3
  Subject Pref  Sex  
    <dbl> <chr> <chr>
1       1 C     F    
2       2 C     M    
3       3 B     M    
4       4 C     M    
5       5 C     M    
6       6 B     F    
prefsABCsex$Subject <- factor(prefsABCsex$Subject)
prefsABCsex$Pref <- factor(prefsABCsex$Pref)
prefsABCsex$Sex <- factor(prefsABCsex$Sex)
summary(prefsABCsex)
    Subject   Pref   Sex   
 1      : 1   A: 8   F:29  
 2      : 1   B:21   M:31  
 3      : 1   C:31         
 4      : 1                
 5      : 1                
 6      : 1                
 (Other):54                
ggplot(prefsABCsex,aes(Pref)) +
  geom_bar(width=0.5,alpha=0.4,fill="lightskyblue1") +
  facet_wrap(~Sex) +
  theme_tufte(base_size=7)

#. Pearson chi-square test
prfs <- xtabs( ~ Pref + Sex, data=prefsABCsex)
prfs
    Sex
Pref  F  M
   A  3  5
   B 15  6
   C 11 20
chisq.test(prfs)
Warning in chisq.test(prfs): Chi-squared approximation may be incorrect

    Pearson's Chi-squared test

data:  prfs
X-squared = 6.9111, df = 2, p-value = 0.03157
#. G-test
G.test(prfs)

    G-test

data:  prfs
G = 7.0744, df = 2, p-value = 0.02909
#. Fisher's exact test
fisher.test(prfs)

    Fisher's Exact Test for Count Data

data:  prfs
p-value = 0.03261
alternative hypothesis: two.sided

Now conduct manual post hoc binomial tests for (m)ales—do any prefs for A–C significantly differ from chance for males?

ma <- binom.test(sum(prefsABCsex[prefsABCsex$Sex == "M",]$Pref == "A"),
        nrow(prefsABCsex[prefsABCsex$Sex == "M",]), p=1/3)
mb <- binom.test(sum(prefsABCsex[prefsABCsex$Sex == "M",]$Pref == "B"),
        nrow(prefsABCsex[prefsABCsex$Sex == "M",]), p=1/3)
mc <- binom.test(sum(prefsABCsex[prefsABCsex$Sex == "M",]$Pref == "C"),
        nrow(prefsABCsex[prefsABCsex$Sex == "M",]), p=1/3)
#. correct for multiple comparisons
p.adjust(c(ma$p.value, mb$p.value, mc$p.value), method="holm")
[1] 0.109473564 0.126622172 0.001296754

Next, conduct manual post hoc binomial tests for (f)emales—do any prefs for A–C significantly differ from chance for females?

fa <- binom.test(sum(prefsABCsex[prefsABCsex$Sex == "F",]$Pref == "A"),
        nrow(prefsABCsex[prefsABCsex$Sex == "F",]), p=1/3)
fb <- binom.test(sum(prefsABCsex[prefsABCsex$Sex == "F",]$Pref == "B"),
        nrow(prefsABCsex[prefsABCsex$Sex == "F",]), p=1/3)
fc <- binom.test(sum(prefsABCsex[prefsABCsex$Sex == "F",]$Pref == "C"),
        nrow(prefsABCsex[prefsABCsex$Sex == "F",]), p=1/3)
#. correct for multiple comparisons
p.adjust(c(fa$p.value, fb$p.value, fc$p.value), method="holm")
[1] 0.02703274 0.09447821 0.69396951

13.2 How do groups compare in reading performance? (Independent samples \(t\)-test)

Here we are asking which group read more pages on a particular website.

source('include.R')
pgviews <- read_csv(paste0("data","/pgviews.csv"))
pgviews$Subject <- factor(pgviews$Subject)
pgviews$Site <- factor(pgviews$Site)
summary(pgviews)
    Subject    Site        Pages       
 1      :  1   A:245   Min.   : 1.000  
 2      :  1   B:255   1st Qu.: 3.000  
 3      :  1           Median : 4.000  
 4      :  1           Mean   : 3.958  
 5      :  1           3rd Qu.: 5.000  
 6      :  1           Max.   :11.000  
 (Other):494                           
tail(pgviews)
# A tibble: 6 × 3
  Subject Site  Pages
  <fct>   <fct> <dbl>
1 495     A         3
2 496     B         6
3 497     B         6
4 498     A         3
5 499     A         4
6 500     B         6
#. descriptive statistics by Site
plyr::ddply(pgviews, ~ Site, function(data) summary(data$Pages))
  Site Min. 1st Qu. Median     Mean 3rd Qu. Max.
1    A    1       3      3 3.404082       4    6
2    B    1       3      4 4.490196       6   11
plyr::ddply(pgviews, ~ Site, summarise, Pages.mean=mean(Pages), Pages.sd=sd(Pages))
  Site Pages.mean Pages.sd
1    A   3.404082 1.038197
2    B   4.490196 2.127552
#. graph histograms and a boxplot
ggplot(pgviews,aes(Pages,fill=Site,color=Site)) +
  geom_bar(alpha=0.5,position="identity",color="white") +
  scale_color_grey() +
  scale_fill_grey() +
  theme_tufte(base_size=7)

ggplot(pgviews,aes(Site,Pages,fill=Site)) +
  geom_boxplot(show.legend=FALSE) +
  scale_fill_brewer(palette="Blues") +
  theme_tufte(base_size=7)

#. independent-samples t-test
t.test(Pages ~ Site, data=pgviews, var.equal=TRUE)

    Two Sample t-test

data:  Pages by Site
t = -7.2083, df = 498, p-value = 0.000000000002115
alternative hypothesis: true difference in means between group A and group B is not equal to 0
95 percent confidence interval:
 -1.3821544 -0.7900745
sample estimates:
mean in group A mean in group B 
       3.404082        4.490196 

13.3 ANOVA

ANOVA stands for analysis of variance and is a way to generalize the \(t\)-test to more groups.

13.3.1 How long does it take to perform tasks on two IDEs?

source('include.R')
ide2 <- read_csv(paste0("data","/ide2.csv"))
ide2$Subject <- factor(ide2$Subject) # convert to nominal factor
ide2$IDE <- factor(ide2$IDE) # convert to nominal factor
summary(ide2)
    Subject        IDE          Time      
 1      : 1   Eclipse:20   Min.   :155.0  
 2      : 1   VStudio:20   1st Qu.:271.8  
 3      : 1                Median :313.5  
 4      : 1                Mean   :385.1  
 5      : 1                3rd Qu.:422.0  
 6      : 1                Max.   :952.0  
 (Other):34                               
#. view descriptive statistics by IDE
plyr::ddply(ide2, ~ IDE, function(data) summary(data$Time))
      IDE Min. 1st Qu. Median   Mean 3rd Qu. Max.
1 Eclipse  232  294.75  393.5 468.15  585.50  952
2 VStudio  155  246.50  287.0 302.10  335.25  632
plyr::ddply(ide2, ~ IDE, summarise, Time.mean=mean(Time), Time.sd=sd(Time))
      IDE Time.mean  Time.sd
1 Eclipse    468.15 218.1241
2 VStudio    302.10 101.0778
#. graph histograms and a boxplot
ggplot(ide2,aes(Time,fill=IDE)) +
  geom_histogram(binwidth=50,position=position_dodge()) +
  scale_fill_brewer(palette="Paired") +
  theme_tufte(base_size=7)

ggplot(ide2,aes(IDE,Time,fill=IDE)) +
  geom_boxplot(show.legend=FALSE) +
  scale_fill_brewer(palette="Blues") +
  theme_tufte(base_size=7)

#. independent-samples t-test (suitable? maybe not, because...)
t.test(Time ~ IDE, data=ide2, var.equal=TRUE)

    Two Sample t-test

data:  Time by IDE
t = 3.0889, df = 38, p-value = 0.003745
alternative hypothesis: true difference in means between group Eclipse and group VStudio is not equal to 0
95 percent confidence interval:
  57.226 274.874
sample estimates:
mean in group Eclipse mean in group VStudio 
               468.15                302.10 

13.3.2 Testing ANOVA assumptions

The null hypothesis of the Shapiro-Wilk test is that the data are drawn from a normal distribution. A small \(p\)-value indicates that they are not.

The null hypothesis of the Levene test (using means) and of the Brown-Forsythe test (using medians) is that the variances of the groups are the same. A small \(p\)-value indicates that the variances are not the same.

In all the above cases, a logarithmic transformation may solve the problem (both non-normality and unequal variances).

#. Shapiro-Wilk normality test on response
shapiro.test(ide2[ide2$IDE == "VStudio",]$Time)

    Shapiro-Wilk normality test

data:  ide2[ide2$IDE == "VStudio", ]$Time
W = 0.84372, p-value = 0.004191
shapiro.test(ide2[ide2$IDE == "Eclipse",]$Time)

    Shapiro-Wilk normality test

data:  ide2[ide2$IDE == "Eclipse", ]$Time
W = 0.87213, p-value = 0.01281
#. but really what matters most is the residuals
m = aov(Time ~ IDE, data=ide2) # fit model
shapiro.test(residuals(m)) # test residuals

    Shapiro-Wilk normality test

data:  residuals(m)
W = 0.894, p-value = 0.001285
par(pin=c(2.75,1.25),cex=0.5)
qqnorm(residuals(m)); qqline(residuals(m)) # plot residuals

13.3.3 Kolmogorov-Smirnov test for log-normality

Fit the distribution to a log-normal to estimate fit parameters then supply those to a K-S test with the log-normal distribution fn (see ?plnorm). See ?distributions for many other named probability distributions.

The Kolmogorov-Smirnov test can be used with any continuous distribution function. Here, the specification of log-normal is given by the string with the name of the cumulative distribution function of the log-normal, specifically plnorm. (The Kolmogorov-Smirnov test is so frequently used with pnorm, the cumulative distribution function of the normal distribution, that it is often called the Kolmogorov-Smirnov normality test). The remainder of the function call gives the parameters of the log-normal distribution function, mean and standard deviation. The null hypothesis in this case is that the data are drawn from a log-normal distribution. A small \(p\)-value indicates that they are not.

pacman::p_load(MASS)
fit <- fitdistr(ide2[ide2$IDE == "VStudio",]$Time,
           "lognormal")$estimate
ks.test(ide2[ide2$IDE == "VStudio",]$Time, "plnorm",
    meanlog=fit[1], sdlog=fit[2], exact=TRUE)

    Exact one-sample Kolmogorov-Smirnov test

data:  ide2[ide2$IDE == "VStudio", ]$Time
D = 0.13421, p-value = 0.8181
alternative hypothesis: two-sided
fit <- fitdistr(ide2[ide2$IDE == "Eclipse",]$Time,
           "lognormal")$estimate
ks.test(ide2[ide2$IDE == "Eclipse",]$Time, "plnorm",
    meanlog=fit[1], sdlog=fit[2], exact=TRUE)

    Exact one-sample Kolmogorov-Smirnov test

data:  ide2[ide2$IDE == "Eclipse", ]$Time
D = 0.12583, p-value = 0.871
alternative hypothesis: two-sided
#. tests for homoscedasticity (homogeneity of variance)
pacman::p_load(car)
leveneTest(Time ~ IDE, data=ide2, center=mean) # Levene's test
Levene's Test for Homogeneity of Variance (center = mean)
      Df F value   Pr(>F)   
group  1  11.959 0.001356 **
      38                    
---
Signif. codes:  0 '***' 0.001 '**' 0.01 '*' 0.05 '.' 0.1 ' ' 1
leveneTest(Time ~ IDE, data=ide2, center=median) # Brown-Forsythe test
Levene's Test for Homogeneity of Variance (center = median)
      Df F value  Pr(>F)  
group  1  5.9144 0.01984 *
      38                  
---
Signif. codes:  0 '***' 0.001 '**' 0.01 '*' 0.05 '.' 0.1 ' ' 1
#. Welch t-test for unequal variances handles
#. the violation of homoscedasticity. but not
#. the violation of normality.
t.test(Time ~ IDE, data=ide2, var.equal=FALSE) # Welch t-test

    Welch Two Sample t-test

data:  Time by IDE
t = 3.0889, df = 26.8, p-value = 0.004639
alternative hypothesis: true difference in means between group Eclipse and group VStudio is not equal to 0
95 percent confidence interval:
  55.71265 276.38735
sample estimates:
mean in group Eclipse mean in group VStudio 
               468.15                302.10 

13.3.4 Data transformation

#. create a new column in ide2 defined as log(Time)
ide2$logTime <- log(ide2$Time) # log transform
head(ide2) # verify
# A tibble: 6 × 4
  Subject IDE      Time logTime
  <fct>   <fct>   <dbl>   <dbl>
1 1       VStudio   341    5.83
2 2       VStudio   291    5.67
3 3       VStudio   283    5.65
4 4       VStudio   155    5.04
5 5       VStudio   271    5.60
6 6       VStudio   270    5.60
#. explore for intuition-building
ggplot(ide2,aes(logTime,fill=IDE)) +
  geom_histogram(binwidth=0.2,position=position_dodge()) +
  scale_fill_brewer(palette="Paired") +
  theme_tufte(base_size=7)

ggplot(ide2,aes(IDE,logTime,fill=IDE)) +
  geom_boxplot(show.legend=FALSE) +
  scale_fill_brewer(palette="Blues") +
  theme_tufte(base_size=7)

#. re-test for normality
shapiro.test(ide2[ide2$IDE == "VStudio",]$logTime)

    Shapiro-Wilk normality test

data:  ide2[ide2$IDE == "VStudio", ]$logTime
W = 0.95825, p-value = 0.5094
shapiro.test(ide2[ide2$IDE == "Eclipse",]$logTime)

    Shapiro-Wilk normality test

data:  ide2[ide2$IDE == "Eclipse", ]$logTime
W = 0.93905, p-value = 0.23
m <- aov(logTime ~ IDE, data=ide2) # fit model
shapiro.test(residuals(m)) # test residuals

    Shapiro-Wilk normality test

data:  residuals(m)
W = 0.96218, p-value = 0.1987
par(pin=c(2.75,1.25),cex=0.5)
qqnorm(residuals(m)); qqline(residuals(m)) # plot residuals

#. re-test for homoscedasticity
leveneTest(logTime ~ IDE, data=ide2, center=median) # Brown-Forsythe test
Levene's Test for Homogeneity of Variance (center = median)
      Df F value  Pr(>F)  
group  1  3.2638 0.07875 .
      38                  
---
Signif. codes:  0 '***' 0.001 '**' 0.01 '*' 0.05 '.' 0.1 ' ' 1
#. independent-samples t-test (now suitable for logTime)
t.test(logTime ~ IDE, data=ide2, var.equal=TRUE)

    Two Sample t-test

data:  logTime by IDE
t = 3.3121, df = 38, p-value = 0.002039
alternative hypothesis: true difference in means between group Eclipse and group VStudio is not equal to 0
95 percent confidence interval:
 0.1514416 0.6276133
sample estimates:
mean in group Eclipse mean in group VStudio 
             6.055645              5.666118 

13.3.5 What if ANOVA assumptions don’t hold? (Nonparametric equivalent of independent-samples t-test)

13.3.6 Mann-Whitney U test

This is a nonparametric test of the null hypothesis that, for randomly selected values from two populations, the probability of the first being greater than the second is equal to the probability of the second being greater than the first. A small \(p\)-value indicates that it is not. (The test is also called the Wilcoxon-Mann-Whitney test, hence the function name given below.)

pacman::p_load(coin)
wilcox_test(Time ~ IDE, data=ide2, distribution="exact")

    Exact Wilcoxon-Mann-Whitney Test

data:  Time by IDE (Eclipse, VStudio)
Z = 2.9487, p-value = 0.002577
alternative hypothesis: true mu is not equal to 0
wilcox_test(logTime ~ IDE, data=ide2, distribution="exact") # note: same result

    Exact Wilcoxon-Mann-Whitney Test

data:  logTime by IDE (Eclipse, VStudio)
Z = 2.9487, p-value = 0.002577
alternative hypothesis: true mu is not equal to 0

13.3.7 How long does it take to do tasks on one of three tools? (One-way ANOVA preparation)

#. read in a data file with task completion times (min) now from 3 tools
ide3 <- read_csv(paste0("data","/ide3.csv"))
ide3$Subject <- factor(ide3$Subject) # convert to nominal factor
ide3$IDE <- factor(ide3$IDE) # convert to nominal factor
summary(ide3)
    Subject        IDE          Time      
 1      : 1   Eclipse:20   Min.   :143.0  
 2      : 1   PyCharm:20   1st Qu.:248.8  
 3      : 1   VStudio:20   Median :295.0  
 4      : 1                Mean   :353.9  
 5      : 1                3rd Qu.:391.2  
 6      : 1                Max.   :952.0  
 (Other):54                               
#. view descriptive statistics by IDE
plyr::ddply(ide3, ~ IDE, function(data) summary(data$Time))
      IDE Min. 1st Qu. Median   Mean 3rd Qu. Max.
1 Eclipse  232  294.75  393.5 468.15  585.50  952
2 PyCharm  143  232.25  279.5 291.45  300.00  572
3 VStudio  155  246.50  287.0 302.10  335.25  632
plyr::ddply(ide3, ~ IDE, summarise, Time.mean=mean(Time), Time.sd=sd(Time))
      IDE Time.mean  Time.sd
1 Eclipse    468.15 218.1241
2 PyCharm    291.45 106.8922
3 VStudio    302.10 101.0778
ide3 |>
  group_by(IDE) |>
  summarize(median=median(Time),mean=mean(Time),sd=sd(Time))
# A tibble: 3 × 4
  IDE     median  mean    sd
  <fct>    <dbl> <dbl> <dbl>
1 Eclipse   394.  468.  218.
2 PyCharm   280.  291.  107.
3 VStudio   287   302.  101.
#. explore new response distribution
ggplot(ide3,aes(Time,fill=IDE)) +
  geom_histogram(binwidth=50,position=position_dodge()) +
  scale_fill_brewer(palette="Blues") +
  theme_tufte(base_size=7)

ggplot(ide3,aes(IDE,Time,fill=IDE)) +
  geom_boxplot(show.legend=FALSE) +
  scale_fill_brewer(palette="Blues") +
  theme_tufte(base_size=7)

#. test normality for new IDE
shapiro.test(ide3[ide3$IDE == "PyCharm",]$Time)

    Shapiro-Wilk normality test

data:  ide3[ide3$IDE == "PyCharm", ]$Time
W = 0.88623, p-value = 0.02294
m <- aov(Time ~ IDE, data=ide3) # fit model
shapiro.test(residuals(m)) # test residuals

    Shapiro-Wilk normality test

data:  residuals(m)
W = 0.89706, p-value = 0.000103
par(pin=c(2.75,1.25),cex=0.5)
qqnorm(residuals(m)); qqline(residuals(m)) # plot residuals

#. test log-normality of new IDE
fit <- fitdistr(ide3[ide3$IDE == "PyCharm",]$Time, "lognormal")$estimate
ks.test(ide3[ide3$IDE == "PyCharm",]$Time,
    "plnorm", meanlog=fit[1], sdlog=fit[2], exact=TRUE) # lognormality

    Exact one-sample Kolmogorov-Smirnov test

data:  ide3[ide3$IDE == "PyCharm", ]$Time
D = 0.1864, p-value = 0.4377
alternative hypothesis: two-sided
#. compute new log(Time) column and re-test
ide3$logTime <- log(ide3$Time) # add new column
shapiro.test(ide3[ide3$IDE == "PyCharm",]$logTime)

    Shapiro-Wilk normality test

data:  ide3[ide3$IDE == "PyCharm", ]$logTime
W = 0.96579, p-value = 0.6648
m <- aov(logTime ~ IDE, data=ide3) # fit model
shapiro.test(residuals(m)) # test residuals

    Shapiro-Wilk normality test

data:  residuals(m)
W = 0.96563, p-value = 0.08893
par(pin=c(2.75,1.25),cex=0.5)
qqnorm(residuals(m)); qqline(residuals(m)) # plot residuals

#. test homoscedasticity
leveneTest(logTime ~ IDE, data=ide3, center=median) # Brown-Forsythe test
Levene's Test for Homogeneity of Variance (center = median)
      Df F value Pr(>F)
group  2  1.7797 0.1779
      57               

13.3.8 Can we transform data so it fits assumptions? (One-way ANOVA, suitable now to logTime)

m <- aov(logTime ~ IDE, data=ide3) # fit model
anova(m) # report anova
Analysis of Variance Table

Response: logTime
          Df Sum Sq Mean Sq F value    Pr(>F)    
IDE        2 2.3064  1.1532   8.796 0.0004685 ***
Residuals 57 7.4729  0.1311                      
---
Signif. codes:  0 '***' 0.001 '**' 0.01 '*' 0.05 '.' 0.1 ' ' 1
#. post hoc independent-samples t-tests
pacman::p_load(multcomp)
summary(glht(m, mcp(IDE="Tukey")), test=adjusted(type="holm")) # Tukey means compare all pairs

     Simultaneous Tests for General Linear Hypotheses

Multiple Comparisons of Means: Tukey Contrasts


Fit: aov(formula = logTime ~ IDE, data = ide3)

Linear Hypotheses:
                       Estimate Std. Error t value Pr(>|t|)    
PyCharm - Eclipse == 0  -0.4380     0.1145  -3.826 0.000978 ***
VStudio - Eclipse == 0  -0.3895     0.1145  -3.402 0.002458 ** 
VStudio - PyCharm == 0   0.0485     0.1145   0.424 0.673438    
---
Signif. codes:  0 '***' 0.001 '**' 0.01 '*' 0.05 '.' 0.1 ' ' 1
(Adjusted p values reported -- holm method)
#. note: equivalent to this using lsm instead of mcp
pacman::p_load(emmeans)
summary(glht(m, lsm(pairwise ~ IDE)), test=adjusted(type="holm"))

     Simultaneous Tests for General Linear Hypotheses

Fit: aov(formula = logTime ~ IDE, data = ide3)

Linear Hypotheses:
                       Estimate Std. Error t value Pr(>|t|)    
Eclipse - PyCharm == 0   0.4380     0.1145   3.826 0.000978 ***
Eclipse - VStudio == 0   0.3895     0.1145   3.402 0.002458 ** 
PyCharm - VStudio == 0  -0.0485     0.1145  -0.424 0.673438    
---
Signif. codes:  0 '***' 0.001 '**' 0.01 '*' 0.05 '.' 0.1 ' ' 1
(Adjusted p values reported -- holm method)

13.3.9 What if we can’t transform data to fit ANOVA assumptions? (Nonparametric equivalent of one-way ANOVA)

#. Kruskal-Wallis test
kruskal_test(Time ~ IDE, data=ide3, distribution="asymptotic") # can't do exact with 3 levels

    Asymptotic Kruskal-Wallis Test

data:  Time by IDE (Eclipse, PyCharm, VStudio)
chi-squared = 12.17, df = 2, p-value = 0.002277
kruskal_test(logTime ~ IDE, data=ide3, distribution="asymptotic") # note: same result

    Asymptotic Kruskal-Wallis Test

data:  logTime by IDE (Eclipse, PyCharm, VStudio)
chi-squared = 12.17, df = 2, p-value = 0.002277
#. for reporting Kruskal-Wallis as chi-square, we can get N with nrow(ide3)

#. manual post hoc Mann-Whitney U pairwise comparisons
#. note: wilcox_test we used above doesn't take two data vectors, so use wilcox.test
vs.ec <- wilcox.test(ide3[ide3$IDE == "VStudio",]$Time,
            ide3[ide3$IDE == "Eclipse",]$Time, exact=FALSE)
vs.py <- wilcox.test(ide3[ide3$IDE == "VStudio",]$Time,
            ide3[ide3$IDE == "PyCharm",]$Time, exact=FALSE)
ec.py <- wilcox.test(ide3[ide3$IDE == "Eclipse",]$Time,
            ide3[ide3$IDE == "PyCharm",]$Time, exact=FALSE)
p.adjust(c(vs.ec$p.value, vs.py$p.value, ec.py$p.value), method="holm")
[1] 0.007681846 0.588488864 0.007681846
#. alternative approach is using PMCMRplus for nonparam pairwise comparisons
pacman::p_load(PMCMRplus)
kwAllPairsConoverTest(Time ~ IDE, data=ide3, p.adjust.method="holm")
Warning in kwAllPairsConoverTest.default(c(341, 291, 283, 155, 271, 270, : Ties
are present. Quantiles were corrected for ties.

    Pairwise comparisons using Conover's all-pairs test
data: Time by IDE
        Eclipse PyCharm
PyCharm 0.0025  -      
VStudio 0.0062  0.6620 

P value adjustment method: holm

The above test was reported by W. J. Conover and R. L. Iman (1979), On multiple-comparisons procedures, Tech. Rep. LA-7677-MS, Los Alamos Scientific Laboratory.

13.3.10 Another example of tasks using two tools (More on oneway ANOVA)

The designtime data records task times in minutes to complete the same project in Illustrator or InDesign.

Read the designtime data into R. Determine how many subjects participated.

source('include.R')
dt <- read_csv(paste0("data","/designtime.csv"))
#. convert Subject to a factor
dt$Subject<-as.factor(dt$Subject)
dt$Tool<-as.factor(dt$Tool)
summary(dt)
    Subject            Tool         Time       
 1      : 1   Illustrator:30   Min.   : 98.19  
 2      : 1   InDesign   :30   1st Qu.:149.34  
 3      : 1                    Median :205.54  
 4      : 1                    Mean   :275.41  
 5      : 1                    3rd Qu.:361.99  
 6      : 1                    Max.   :926.15  
 (Other):54                                    
length(dt$Subject)
[1] 60
tail(dt)
# A tibble: 6 × 3
  Subject Tool         Time
  <fct>   <fct>       <dbl>
1 55      Illustrator  218.
2 56      InDesign     180.
3 57      Illustrator  170.
4 58      InDesign     186.
5 59      Illustrator  241.
6 60      InDesign     159.

We see from the summary that there are sixty observations. We can see the same by checking the length() of the Subject (or any other) variable in the data.

Create a boxplot of the task time for each tool and comment on the medians and variances.

ggplot(dt,aes(Tool,Time,fill=Tool)) +
  geom_boxplot(show.legend=FALSE) +
  scale_fill_brewer(palette="Blues") +
  theme_tufte(base_size=8)

Both the median and the variance is much larger for Illustrator than for InDesign.

Conduct a Shapiro-Wilk test for normality for each tool and comment.

shapiro.test(dt[dt$Tool=="Illustrator",]$Time)

    Shapiro-Wilk normality test

data:  dt[dt$Tool == "Illustrator", ]$Time
W = 0.90521, p-value = 0.01129
shapiro.test(dt[dt$Tool=="InDesign",]$Time)

    Shapiro-Wilk normality test

data:  dt[dt$Tool == "InDesign", ]$Time
W = 0.95675, p-value = 0.2553

In the case of InDesign, we fail to reject the null hypothesis that the data are drawn from a normal distribution. In the case of Illustrator, we reject the null hypothesis at the five percent level but not at the one percent level (just barely).

Conduct a Shapiro-Wilk test for normality on the residuals and comment.

m<-aov(Time~Tool,data=dt)
shapiro.test(residuals(m))

    Shapiro-Wilk normality test

data:  residuals(m)
W = 0.85077, p-value = 0.000003211

We reject the null hypothesis that the residuals are normally distributed.

Conduct a Brown-Forsythe test of homoscedasticity.

leveneTest(Time~Tool,data=dt,center=median)
Levene's Test for Homogeneity of Variance (center = median)
      Df F value     Pr(>F)    
group  1  20.082 0.00003545 ***
      58                       
---
Signif. codes:  0 '***' 0.001 '**' 0.01 '*' 0.05 '.' 0.1 ' ' 1

We reject the null hypothesis that the two samples are drawn from populations with equal variance.

Fit a lognormal distribution to the Time response for each Tool. Conduct a Kolmogorov-Smirnov goodness-of-fit test and comment.

fit<-fitdistr(dt[dt$Tool=="Illustrator",]$Time,
    "lognormal")$estimate
tst<-ks.test(dt[dt$Tool=="Illustrator",]$Time,
    "plnorm",meanlog=fit[1],sdlog=fit[2],exact=TRUE)
tst

    Exact one-sample Kolmogorov-Smirnov test

data:  dt[dt$Tool == "Illustrator", ]$Time
D = 0.093358, p-value = 0.9344
alternative hypothesis: two-sided
fit<-fitdistr(dt[dt$Tool=="InDesign",]$Time,
    "lognormal")$estimate
tst<-ks.test(dt[dt$Tool=="InDesign",]$Time,
    "plnorm",meanlog=fit[1],sdlog=fit[2],exact=TRUE)
tst

    Exact one-sample Kolmogorov-Smirnov test

data:  dt[dt$Tool == "InDesign", ]$Time
D = 0.10005, p-value = 0.8958
alternative hypothesis: two-sided

We fail to reject the null hypothesis that the Illustrator sample is drawn from a lognormal distribution. We fail to reject the null hypothesis that the InDesign sample is drawn from a lognormal distribution.

Create a log-transformed Time response column. Compute the mean for each tool and comment.

dt$logTime<-log(dt$Time)
mean(dt$logTime[dt$Tool=="Illustrator"])
[1] 5.894288
mean(dt$logTime[dt$Tool=="InDesign"])
[1] 5.03047
dt |>
  group_by(Tool) |>
  summarize(mean=mean(logTime),sd=sd(logTime))
# A tibble: 2 × 3
  Tool         mean    sd
  <fct>       <dbl> <dbl>
1 Illustrator  5.89 0.411
2 InDesign     5.03 0.211

The mean for Illustrator appears to be larger than the mean for InDesign.

Conduct an independent-samples \(t\)-test on the log-transformed Time response, using the Welch version for unequal variances and comment.

t.test(logTime~Tool,data=dt,var.equal=FALSE)

    Welch Two Sample t-test

data:  logTime by Tool
t = 10.23, df = 43.293, p-value = 0.000000000000398
alternative hypothesis: true difference in means between group Illustrator and group InDesign is not equal to 0
95 percent confidence interval:
 0.6935646 1.0340718
sample estimates:
mean in group Illustrator    mean in group InDesign 
                 5.894288                  5.030470 

We reject the null hypothesis that the true difference in means is equal to 0.

Conduct an exact nonparametric Mann-Whitney \(U\) test on the Time response and comment.

wilcox_test(Time~Tool,data=dt,exact=TRUE)

    Asymptotic Wilcoxon-Mann-Whitney Test

data:  Time by Tool (Illustrator, InDesign)
Z = 6.3425, p-value = 0.000000000226
alternative hypothesis: true mu is not equal to 0

We reject the null hypothesis that the samples were drawn from populations with the same distribution.

13.3.11 Differences in writing speed among three tools (Three levels of a factor in ANOVA)

We’ll examine three levels of a factor, which is an alphabet system used for writing. The three levels are named for the text entry systems, EdgeWrite, Graffiti, and Unistrokes.

source('include.R')
alpha <- read_csv(paste0("data","/alphabets.csv"))
alpha$Subject<-as.factor(alpha$Subject)
alpha$Alphabet<-as.factor(alpha$Alphabet)
summary(alpha)
    Subject         Alphabet       WPM        
 1      : 1   EdgeWrite :20   Min.   : 3.960  
 2      : 1   Graffiti  :20   1st Qu.: 9.738  
 3      : 1   Unistrokes:20   Median :13.795  
 4      : 1                   Mean   :14.517  
 5      : 1                   3rd Qu.:18.348  
 6      : 1                   Max.   :28.350  
 (Other):54                                   

Plot the three text entry systems. ::: {.cell}

ggplot(alpha,aes(Alphabet,WPM,fill=Alphabet)) +
  geom_boxplot(show.legend=FALSE) +
  scale_fill_brewer(palette="Blues") +
  theme_tufte(base_size=7)

:::

Identify the average words per minute written with EdgeWrite.

mean(alpha[alpha$Alphabet=="EdgeWrite",]$WPM)
[1] 17.14

Conduct a Shapiro-Wilk test for normality on each method.

shapiro.test(alpha$WPM[alpha$Alphabet=="EdgeWrite"])

    Shapiro-Wilk normality test

data:  alpha$WPM[alpha$Alphabet == "EdgeWrite"]
W = 0.95958, p-value = 0.5355
shapiro.test(alpha$WPM[alpha$Alphabet=="Graffiti"])

    Shapiro-Wilk normality test

data:  alpha$WPM[alpha$Alphabet == "Graffiti"]
W = 0.94311, p-value = 0.2743
shapiro.test(alpha$WPM[alpha$Alphabet=="Unistrokes"])

    Shapiro-Wilk normality test

data:  alpha$WPM[alpha$Alphabet == "Unistrokes"]
W = 0.94042, p-value = 0.2442

Conduct a Shapiro-Wilk test for normality on the residuals of an ANOVA model stipulating that Alphabet affects WPM.

m<-aov(WPM~Alphabet,data=alpha)
shapiro.test(residuals(m))

    Shapiro-Wilk normality test

data:  residuals(m)
W = 0.97762, p-value = 0.3363

Test for homoscedasticity.

leveneTest(alpha$WPM~alpha$Alphabet,center="median")
Levene's Test for Homogeneity of Variance (center = "median")
      Df F value Pr(>F)
group  2  1.6219 0.2065
      57               

Now test all three. The mcp function tests multiple means. The keyword Tukey means to do all the possible pairwise comparisons of Alphabet, i.e., Graffiti and EdgeWrite, Graffiti and Unistrokes, and EdgeWrite and Unistrokes. m is the oneway ANOVA model we created above.

summary(multcomp::glht(m,multcomp::mcp(Alphabet="Tukey")),test=adjusted(type="holm"))

     Simultaneous Tests for General Linear Hypotheses

Multiple Comparisons of Means: Tukey Contrasts


Fit: aov(formula = WPM ~ Alphabet, data = alpha)

Linear Hypotheses:
                            Estimate Std. Error t value Pr(>|t|)   
Graffiti - EdgeWrite == 0     -2.101      1.693  -1.241  0.21982   
Unistrokes - EdgeWrite == 0   -5.769      1.693  -3.407  0.00363 **
Unistrokes - Graffiti == 0    -3.668      1.693  -2.166  0.06894 . 
---
Signif. codes:  0 '***' 0.001 '**' 0.01 '*' 0.05 '.' 0.1 ' ' 1
(Adjusted p values reported -- holm method)

Conduct a nonparametric oneway ANOVA using the Kruskal-Wallis test to see if the samples have the same distribution. The null hypothesis is that the samples come from the same distribution.

kruskal_test(alpha$WPM~alpha$Alphabet, distribution="asymptotic")

    Asymptotic Kruskal-Wallis Test

data:  alpha$WPM by
     alpha$Alphabet (EdgeWrite, Graffiti, Unistrokes)
chi-squared = 9.7019, df = 2, p-value = 0.007821

Conduct manual post hoc Mann-Whitney pairwise comparisons and adjust the \(p\)-values to take into account the possibility of false discovery.

ewgf<-wilcox.test(alpha$WPM[alpha$Alphabet=="EdgeWrite"],alpha$WPM[alpha$Alphabet=="Graffiti"],paired=FALSE,exact=FALSE)
ewun<-wilcox.test(alpha$WPM[alpha$Alphabet=="EdgeWrite"],alpha$WPM[alpha$Alphabet=="Unistrokes"],paired=FALSE,exact=FALSE)
gfun<-wilcox.test(alpha$WPM[alpha$Alphabet=="Graffiti"],alpha$WPM[alpha$Alphabet=="Unistrokes"],paired=FALSE,exact=FALSE)
p.adjust(c(ewgf$p.value,ewun$p.value,gfun$p.value),method="holm")
[1] 0.20358147 0.01810677 0.04146919

13.4 Same person using two different tools (Paired samples \(t\)-test)

Is it better to search or scroll for contacts in a smartphone contacts manager? Which takes more time? Which takes more effort? Which is more error-prone? Start by reading in data, converting to factors, and summarizing.

source('include.R')
srchscrl <- read_csv(paste0("data","/srchscrl.csv"))
srchscrl$Subject <- factor(srchscrl$Subject)
srchscrl$Order   <- factor(srchscrl$Order)
srchscrl$Technique   <- factor(srchscrl$Technique)
#. srchscrl$Errors   <- factor(srchscrl$Errors,ordered=TRUE,levels=c(0,1,2,3,4))
summary(srchscrl)
    Subject    Technique  Order       Time           Errors         Effort 
 1      : 2   Scroll:20   1:20   Min.   : 49.0   Min.   :0.00   Min.   :1  
 2      : 2   Search:20   2:20   1st Qu.: 94.5   1st Qu.:0.75   1st Qu.:3  
 3      : 2                      Median :112.5   Median :1.50   Median :4  
 4      : 2                      Mean   :117.0   Mean   :1.60   Mean   :4  
 5      : 2                      3rd Qu.:148.2   3rd Qu.:2.25   3rd Qu.:5  
 6      : 2                      Max.   :192.0   Max.   :4.00   Max.   :7  
 (Other):28                                                                
pacman::p_load(xtable)
options(xtable.comment=FALSE)
options(xtable.booktabs=TRUE)
xtable(head(srchscrl),caption="First rows of data")

View descriptive statistics by Technique. There are several ways to do this. The following uses the plyr package. ::: {.cell}

plyr::ddply(srchscrl, ~ Technique,
      function(data) summary(data$Time))
  Technique Min. 1st Qu. Median  Mean 3rd Qu. Max.
1    Scroll   49  123.50  148.5 137.2     161  192
2    Search   50   86.75   99.5  96.8     106  147
plyr::ddply(srchscrl, ~ Technique,
      summarise, Time.mean=mean(Time), Time.sd=sd(Time))
  Technique Time.mean  Time.sd
1    Scroll     137.2 35.80885
2    Search      96.8 23.23020

:::

Another approach is to use the dplyr package. Be aware that it conflicts with plyr so you should try to avoid using both. If you must use both, as I did above, it may make the most sense to call particular functions from the plyr package rather than load the package. This is what I did with plyr::ddply() above.

srchscrl |>
  group_by(Technique) |>
  summarize(mean=mean(Time),sd=sd(Time))
# A tibble: 2 × 3
  Technique  mean    sd
  <fct>     <dbl> <dbl>
1 Scroll    137.   35.8
2 Search     96.8  23.2

You can explore the Time response by making histograms or boxplots. One approach is to use the ggplot2 package and put the histograms together in one frame. The ggplot2 package allows for a remarkable variety of options.

ggplot(srchscrl,aes(Time,fill=Technique)) +
  geom_histogram(bins=30,alpha=0.9,position=position_dodge()) +
  scale_fill_brewer(palette="Blues") +
  theme_tufte(base_size=8)

We can use the same package for boxplots. Boxplots show the median as a bold line in the middle of the box. The box itself ranges from the first quartile (starting at the 25th percentile) to the third quartile (terminating at the 75th percentile). The whiskers run from the minimum to the maximum, where these are defined as the 25th percentile minus 1.5 times the interquartile range and the 75th percentile plus 1.5 times the interquartile range. The interquartile range is the width of the box. Dots outside the whiskers show outliers.

ggplot(srchscrl,aes(Technique,Time,fill=Technique)) +
  geom_boxplot(show.legend=FALSE) +
  scale_fill_brewer(palette="Blues") +
  theme_tufte(base_size=8)

We would rather use parametric statistics if ANOVA assumptions are met. Recall that we can test for normality, normality of residuals, and homoscedasticity. In the case of a within-subjects experiment, we can also test for order effects which is one way to test the independence assumption. First test whether these times seem to be drawn from a normal distribution.

shapiro.test(srchscrl[srchscrl$Technique == "Search",]$Time)

    Shapiro-Wilk normality test

data:  srchscrl[srchscrl$Technique == "Search", ]$Time
W = 0.96858, p-value = 0.7247
shapiro.test(srchscrl[srchscrl$Technique == "Scroll",]$Time)

    Shapiro-Wilk normality test

data:  srchscrl[srchscrl$Technique == "Scroll", ]$Time
W = 0.91836, p-value = 0.09213

In both cases we fail to reject the null hypothesis, which is that the Time data are drawn from a normal distribution. Note that we fail to reject at \(\alpha=0.05\) but that in the case of the Scroll technique we would reject at \(\alpha=0.1\).

Fit a model for testing residuals—the Error function is used to indicate within-subject effects, i.e., each Subject was exposed to all levels of Technique. generally, Error(S/(ABC)) means each S was exposed to every level of A, B, C and S is a column encoding subject ids.

m <- aov(Time ~ Technique + Error(Subject/Technique),
    data=srchscrl)

The above-specified model has residuals—departures of the observed data from the data that would be expected if the model were accurate.

Now we can test the residuals of this model for normality and also examine a QQ plot for normality. The QQ plot shows the theoretical line to which the residuals should adhere if they are normally distributed. Deviations from that line are indications of non-normality. First test by Subject.

shapiro.test(residuals(m$Subject))

    Shapiro-Wilk normality test

data:  residuals(m$Subject)
W = 0.9603, p-value = 0.5783
qqnorm(residuals(m$Subject)) 
qqline(residuals(m$Subject))

We fail to reject the null hypothesis of normality and the QQ plot looks normal. So far, so good.

Next test by Subject:Technique.

shapiro.test(residuals(m$'Subject:Technique'))

    Shapiro-Wilk normality test

data:  residuals(m$"Subject:Technique")
W = 0.97303, p-value = 0.8172
qqnorm(residuals(m$'Subject:Technique'))
qqline(residuals(m$'Subject:Technique'))

We fail to reject the null hypothesis of normality and the QQ plot looks normal. We’re getting there.

We’re still checking the ANOVA assumptions. Next thing to test is homoscedasticity, the assumption of equal variance. For this we use the Brown-Forsythe test, a variant of Levene’s test that uses the median instead of the mean, providing greater robustness against non-normal data.

leveneTest(Time ~ Technique, data=srchscrl, center=median)
Levene's Test for Homogeneity of Variance (center = median)
      Df F value Pr(>F)
group  1  2.0088 0.1645
      38               

This experiment used counterbalancing to ward off the possibility of an order effect. An order effect results from learning or fatigue or some other factor based on the order in which the tests were run. We would like to not have that happen and one solution is to have half the subjects do task A first and half the subjects do task B first. This is the simplest form of counterbalancing. It becomes more problematic if there are more than two tasks.

For a paired-samples \(t\)-test we must use a wide-format table; most R functions do not require a wide-format table, but the dcast() function offers a quick way to translate long-format into wide-format when we need it.

A wide-format table has one subject in every row. A long-format table has one observation in every row. Most R functions use long-format tables.

pacman::p_load(reshape2)
srchscrl.wide.order <- dcast(srchscrl, Subject ~ Order,
                 value.var="Time")
xtable(head(srchscrl.wide.order),
       caption="First rows of wide order")

Now conduct a \(t\)-test to see if order has an effect. ::: {.cell}

t.test(srchscrl.wide.order$"1", srchscrl.wide.order$"2",
       paired=TRUE, var.equal=TRUE)

    Paired t-test

data:  srchscrl.wide.order$"1" and srchscrl.wide.order$"2"
t = -1.3304, df = 19, p-value = 0.1991
alternative hypothesis: true mean difference is not equal to 0
95 percent confidence interval:
 -47.34704  10.54704
sample estimates:
mean difference 
          -18.4 

:::

We fail to reject the null hypothesis that the responses do not differ according to order. To phrase this in a more readable (!) way, we have evidence that the order does not matter.

13.4.1 Running the paired \(t\)-test

It now makes sense to use a paired \(t\)-test since the ANOVA assumptions have been satisfied. This is a parametric test of Time where we pair subjects by technique. Again, we need the wide-format table to conduct a paired test. The wide-format table has one row for each subject rather than one row for each observation.

srchscrl.wide.tech = dcast(srchscrl, Subject ~ Technique,
               value.var="Time")
xtable(head(srchscrl.wide.tech),
       caption="First rows of wide technique")
t.test(srchscrl.wide.tech$Search, srchscrl.wide.tech$Scroll,
       paired=TRUE, var.equal=TRUE)

    Paired t-test

data:  srchscrl.wide.tech$Search and srchscrl.wide.tech$Scroll
t = -3.6399, df = 19, p-value = 0.001743
alternative hypothesis: true mean difference is not equal to 0
95 percent confidence interval:
 -63.63083 -17.16917
sample estimates:
mean difference 
          -40.4 

This supports the intuition we developed doing the histogram and boxplots only now we have a valid statistical test to support this intuition.

Suppose we did not satisfy the ANOVA assumptions. Then we would conduct the nonparametric equivalent of paired-samples t-test.

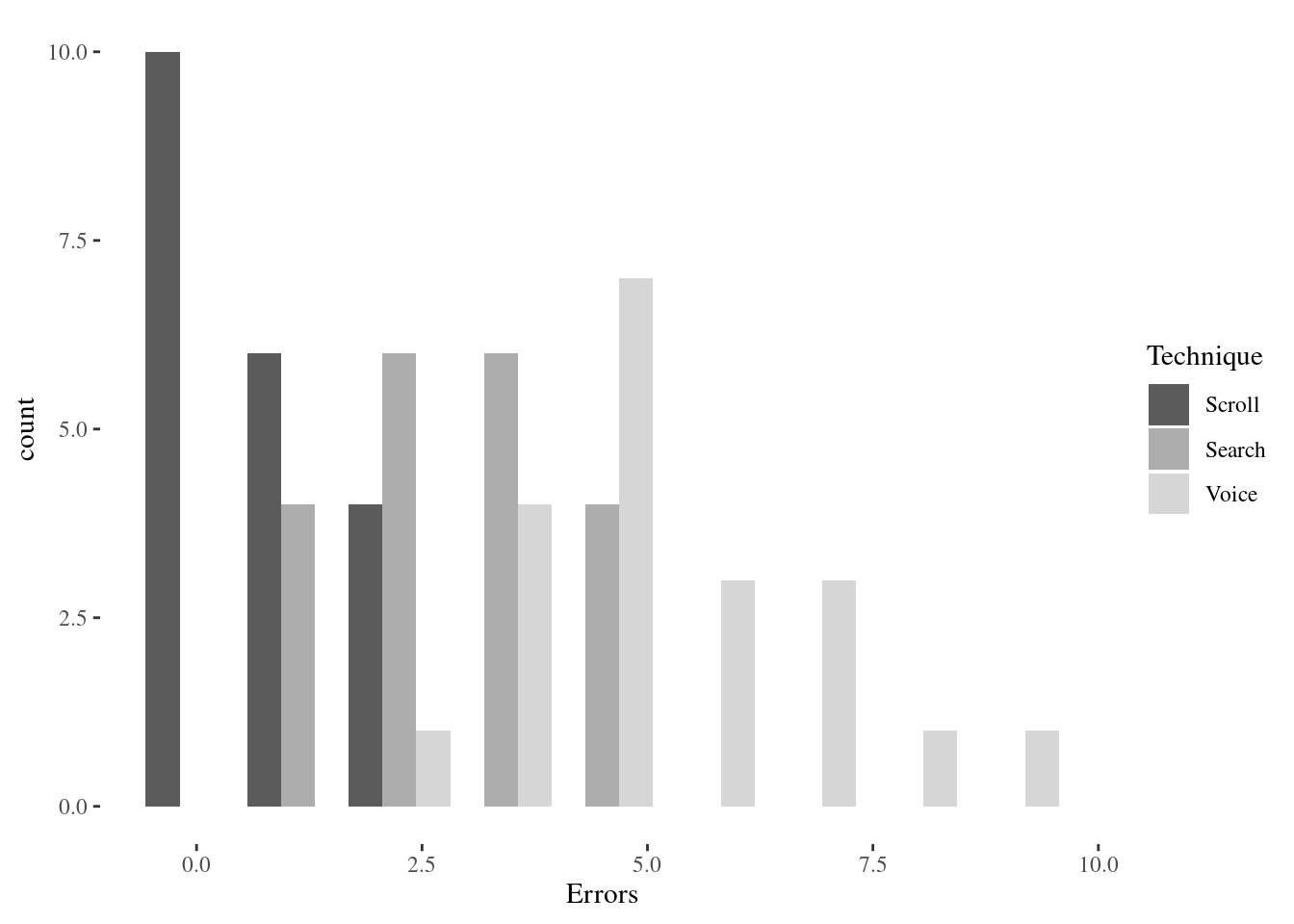
13.4.2 Exploring a Poisson-distributed factor

Explore the Errors response; error counts are often Poisson-distributed.

plyr::ddply(srchscrl, ~ Technique, function(data)
      summary(data$Errors))
  Technique Min. 1st Qu. Median Mean 3rd Qu. Max.
1    Scroll    0       0    0.5  0.7       1    2
2    Search    1       2    2.5  2.5       3    4
plyr::ddply(srchscrl, ~ Technique, summarise,
      Errors.mean=mean(Errors), Errors.sd=sd(Errors))
  Technique Errors.mean Errors.sd
1    Scroll         0.7 0.8013147
2    Search         2.5 1.0513150
ggplot(srchscrl,aes(Errors,fill=Technique)) +
  geom_histogram(bins=20,alpha=0.9,position=position_dodge()) +
  scale_fill_brewer(palette="Blues") +
  theme_tufte(base_size=8)

ggplot(srchscrl,aes(Technique,Errors,fill=Technique)) +
  geom_boxplot(show.legend=FALSE) +
  scale_fill_brewer(palette="Blues") +
  theme_tufte(base_size=8)

Try to fit a Poisson distribution for count data. Note that ks.test() only works for continuous distributions, but Poisson distributions are discrete, so use fitdist, not fitdistr, and test with gofstat.

pacman::p_load(fitdistrplus)
fit = fitdist(srchscrl[srchscrl$Technique == "Search",]$Errors,
          "pois", discrete=TRUE)
gofstat(fit) # goodness-of-fit test
Chi-squared statistic:  1.522231 
Degree of freedom of the Chi-squared distribution:  2 
Chi-squared p-value:  0.4671449 
   the p-value may be wrong with some theoretical counts < 5  
Chi-squared table:
     obscounts theocounts
<= 1  4.000000   5.745950
<= 2  6.000000   5.130312
<= 3  6.000000   4.275260
> 3   4.000000   4.848477

Goodness-of-fit criteria
                               1-mle-pois
Akaike's Information Criterion   65.61424
Bayesian Information Criterion   66.60997
fit = fitdist(srchscrl[srchscrl$Technique == "Scroll",]$Errors,
          "pois", discrete=TRUE)
gofstat(fit) # goodness-of-fit test
Chi-squared statistic:  0.3816087 
Degree of freedom of the Chi-squared distribution:  1 
Chi-squared p-value:  0.5367435 
   the p-value may be wrong with some theoretical counts < 5  
Chi-squared table:
     obscounts theocounts
<= 0 10.000000   9.931706
<= 1  6.000000   6.952194
> 1   4.000000   3.116100

Goodness-of-fit criteria
                               1-mle-pois
Akaike's Information Criterion   45.53208
Bayesian Information Criterion   46.52781

Conduct a Wilcoxon signed-rank test on Errors. ::: {.cell}

wilcoxsign_test(formula=Errors ~ Technique | Subject,
        data=srchscrl, distribution="exact")

    Exact Wilcoxon-Pratt Signed-Rank Test

data:  y by x (pos, neg) 
     stratified by block
Z = -3.6701, p-value = 0.00006104
alternative hypothesis: true mu is not equal to 0

:::

Note: the term afer the “|” indicates the within-subjects blocking term for matched pairs.

13.4.3 Examining a Likert scale response item

Now also examine Effort, the ordinal Likert scale response (1-7).

plyr::ddply(srchscrl, ~ Technique, function(data)
      summary(data$Effort))
  Technique Min. 1st Qu. Median Mean 3rd Qu. Max.
1    Scroll    1       3      4  4.4    6.00    7
2    Search    1       3      4  3.6    4.25    5
plyr::ddply(srchscrl, ~ Technique, summarise,
      Effort.mean=mean(Effort), Effort.sd=sd(Effort))
  Technique Effort.mean Effort.sd
1    Scroll         4.4  1.698296
2    Search         3.6  1.187656
ggplot(srchscrl,aes(Effort,fill=Technique)) +
  geom_histogram(bins=20,alpha=0.9,position=position_dodge()) +
  scale_fill_brewer(palette="Blues") +
  theme_tufte(base_size=8)

ggplot(srchscrl,aes(Technique,Effort,fill=Technique)) +
  geom_boxplot(show.legend=FALSE) +
  scale_fill_brewer(palette="Set3") +
  geom_dotplot(show.legend=FALSE,binaxis='y',stackdir='center',dotsize=1) +
  theme_tufte(base_size=8)
Bin width defaults to 1/30 of the range of the data. Pick better value with
`binwidth`.

Our response is ordinal within-subjects, so use nonparametric Wilcoxon signed-rank.

wilcoxsign_test(Effort ~ Technique | Subject,
        data=srchscrl, distribution="exact")

    Exact Wilcoxon-Pratt Signed-Rank Test

data:  y by x (pos, neg) 
     stratified by block
Z = 1.746, p-value = 0.08746
alternative hypothesis: true mu is not equal to 0

13.5 People doing tasks on different phones in different postures (Factorial ANOVA)

The scenario is text entry on smartphone keyboards: iPhone and Galaxy, in different postures: sitting, walking, standing.

The statistics employed include Factorial ANOVA, repeated measures ANOVA, main effects, interaction effects, the Aligned Rank Transform for nonparametric ANOVAs.

This is a \(3 \times 2\) mixed factorial design. It is mixed in the sense that there is a between-subjects factor (Keyboard) and a within-subjects factor (Posture). It is balanced in the sense that there are twelve persons using each Keyboard and they are each examined for all three levels of Posture.

13.5.1 Read and describe the data

source('include.R')
mbltxt <- read_csv(paste0("data","/mbltxt.csv"))
head(mbltxt)
# A tibble: 6 × 6
  Subject Keyboard Posture Posture_Order   WPM Error_Rate
    <dbl> <chr>    <chr>           <dbl> <dbl>      <dbl>
1       1 iPhone   Sit                 1  20.2     0.022 
2       1 iPhone   Stand               2  23.7     0.03  
3       1 iPhone   Walk                3  20.8     0.0415
4       2 iPhone   Sit                 1  20.9     0.022 
5       2 iPhone   Stand               3  23.3     0.0255
6       2 iPhone   Walk                2  19.1     0.0355
mbltxt <- within(mbltxt, Subject <- as.factor(Subject))
mbltxt <- within(mbltxt, Keyboard <- as.factor(Keyboard))
mbltxt <- within(mbltxt, Posture <- as.factor(Posture))
mbltxt <- within(mbltxt, Posture_Order <- as.factor(Posture_Order))
summary(mbltxt)
    Subject     Keyboard   Posture   Posture_Order      WPM        
 1      : 3   Galaxy:36   Sit  :24   1:24          Min.   : 9.454  
 2      : 3   iPhone:36   Stand:24   2:24          1st Qu.:19.091  
 3      : 3               Walk :24   3:24          Median :21.032  
 4      : 3                                        Mean   :20.213  
 5      : 3                                        3rd Qu.:23.476  
 6      : 3                                        Max.   :25.380  
 (Other):54                                                        
   Error_Rate     
 Min.   :0.01500  
 1st Qu.:0.02200  
 Median :0.03050  
 Mean   :0.03381  
 3rd Qu.:0.04000  
 Max.   :0.06950  
                  

13.5.2 Explore the WPM (words per minute) data

s <- mbltxt |>
  group_by(Keyboard,Posture) |>
  summarize(
    WPM.median=median(WPM),
    WPM.mean=mean(WPM),
    WPM.sd=sd(WPM)
  )
`summarise()` has grouped output by 'Keyboard'. You can override using the
`.groups` argument.
s
# A tibble: 6 × 5
# Groups:   Keyboard [2]
  Keyboard Posture WPM.median WPM.mean WPM.sd
  <fct>    <fct>        <dbl>    <dbl>  <dbl>
1 Galaxy   Sit           23.8     23.9  0.465
2 Galaxy   Stand         21.2     21.2  0.810
3 Galaxy   Walk          12.2     12.1  1.26 
4 iPhone   Sit           20.9     21.0  0.701
5 iPhone   Stand         23.8     23.9  0.834
6 iPhone   Walk          19.1     19.2  1.35 

13.5.3 Histograms for both factors

ggplot(mbltxt,aes(WPM,fill=Keyboard)) +
  geom_histogram(bins=20,alpha=0.9,position="dodge",show.legend=FALSE) +
  scale_color_brewer() +
  scale_fill_brewer() +
  facet_grid(Keyboard~Posture) +
  theme_tufte(base_size=8)

13.5.4 Boxplot of both factors

ggplot(mbltxt,aes(Keyboard,WPM,fill=Keyboard)) +
  geom_boxplot(show.legend=FALSE) +
  scale_fill_brewer(palette="Blues") +
  facet_wrap(~Posture) +
  theme_tufte(base_size=7)

13.5.5 An interaction plot

par(pin=c(2.75,1.25),cex=0.5)
with(mbltxt,
     interaction.plot(Posture, Keyboard, WPM,
                      ylim=c(0, max(mbltxt$WPM))))

13.5.6 Test for a Posture order effect

This is to ensure that counterbalancing worked.

pacman::p_load(ez)
m <- ezANOVA(dv=WPM,
            between=Keyboard,
            within=Posture_Order,
            wid=Subject,
            data=mbltxt)
m$Mauchly
                  Effect         W         p p<.05
3          Posture_Order 0.9912922 0.9122583      
4 Keyboard:Posture_Order 0.9912922 0.9122583      

Wikipedia tells us that “Sphericity is an important assumption of a repeated-measures ANOVA. It refers to the condition where the variances of the differences between all possible pairs of within-subject conditions (i.e., levels of the independent variable) are equal. The violation of sphericity occurs when it is not the case that the variances of the differences between all combinations of the conditions are equal. If sphericity is violated, then the variance calculations may be distorted, which would result in an \(F\)-ratio that would be inflated.” (from the Wikipedia article on Mauchly’s sphericity test)

Mauchly’s test of sphericity above tells us that there is not a significant departure from sphericity, so we can better rely on the \(F\)-statistic in the following ANOVA, the purpose of which is to detect any order effect that would interfere with our later results.

m$ANOVA
                  Effect DFn DFd             F                  p p<.05
2               Keyboard   1  22 124.415141273 0.0000000001596641     *
3          Posture_Order   2  44   0.051662540 0.9497067986928764      
4 Keyboard:Posture_Order   2  44   0.002830819 0.9971733659824537      
           ges
2 0.0794723123
3 0.0023071128
4 0.0001266932

The \(F\)-statistic for Posture_Order is very small, indicating that there is not an order effect. That gives us the confidence to run the ANOVA test we wanted to run all along.

13.6 Differences between people’s performance and within a person’s performance (Two-way mixed factorial ANOVA)

Since a mixed factorial design by definition has both a between-subjects and a within-subjects factor, we don’t need to also mention that this is a repeated measures test.

m <- ezANOVA(dv=WPM,
            between=Keyboard,
            within=Posture,
            wid=Subject,
            data=mbltxt)
m$Mauchly
            Effect         W           p p<.05
3          Posture 0.6370236 0.008782794     *
4 Keyboard:Posture 0.6370236 0.008782794     *

In this case, sphericity is violated, so we need to additionally apply the Greenhouse-Geisser correction or the less conservative Huyn-Feldt correction. Nevertheless, let’s look at the uncorrected ANOVA table. Later, we’ll compare it with the uncorrected version provided by the aov() function.

m$ANOVA
            Effect DFn DFd        F                                    p p<.05
2         Keyboard   1  22 124.4151 0.0000000001596641250006356795086991     *
3          Posture   2  44 381.4980 0.0000000000000000000000000001602465     *
4 Keyboard:Posture   2  44 157.1600 0.0000000000000000000091620756182368     *
        ges
2 0.6151917
3 0.9255880
4 0.8367128

Note that “ges” in the ANOVA table is the generalized eta-squared measure of effect size, \(\eta^2_G\), preferred to eta-squared or partial eta-squared. See Roger Bakeman (2005) “Recommended effect size statistics for repeated measures designs”, Behavior Research Methods, 37 (3) pages 379–384. There, he points out that the usual \(\eta^2\) is the ratio of effect to total variance:

\[\eta^2=\frac{SS_{\text{effect}}}{SS_{\text{total}}}\]

where \(SS\) is sum of squares. This is similar to the \(R^2\) measure typically reported for regression results. The generalized version is alleged to compensate for the deficiencies that \(\eta^2\) shares with \(R^2\), mainly that it can be improved by simply adding more predictors. The generalized version looks like this:

\[\eta^2_G=\frac{SS_{\text{effect}}}{\delta \times SS_{\text{effect}} + \sum SS_{\text{measured}}}\]

Here \(\delta=0\) if the effect involves one or more measured factors and \(\delta=1\) if the effect involves only manipulated factors. (Actually it is a little more complicated—here I’m just trying to convey a crude idea that \(\eta^2_G\) ranges between 0 and 1 and that, as it approaches 1, the size of the effect is greater. Oddly enough, it is common to report effect sizes as simply small, medium, or large.)

Now compute the corrected degrees of freedom for each corrected effect.

pos <- match(m$'Sphericity Corrections'$Effect,
            m$ANOVA$Effect) # positions of within-Ss efx in m$ANOVA
m$Sphericity$GGe.DFn <- m$Sphericity$GGe * m$ANOVA$DFn[pos] # Greenhouse-Geisser
m$Sphericity$GGe.DFd <- m$Sphericity$GGe * m$ANOVA$DFd[pos]
m$Sphericity$HFe.DFn <- m$Sphericity$HFe * m$ANOVA$DFn[pos] # Huynh-Feldt
m$Sphericity$HFe.DFd <- m$Sphericity$HFe * m$ANOVA$DFd[pos]
m$Sphericity
            Effect       GGe                        p[GG] p[GG]<.05       HFe
3          Posture 0.7336884 0.00000000000000000000155828         * 0.7731517
4 Keyboard:Posture 0.7336884 0.00000000000000078007557957         * 0.7731517
                           p[HF] p[HF]<.05  GGe.DFn  GGe.DFd  HFe.DFn  HFe.DFd
3 0.0000000000000000000001432947         * 1.467377 32.28229 1.546303 34.01868
4 0.0000000000000001447656565178         * 1.467377 32.28229 1.546303 34.01868

The above table shows the Greenhouse Geisser correction to the numerator (GGe.DFn) and denominator (GGe.DFd) degrees of freedom and the resulting \(p\)-values (p[GG]). The Greenhouse Geiser epsilon statistic (\(\epsilon\)) is shown as GGe. There is an analogous set of measures for the less conservative Huynh-Feldt correction. Note that you could calculate a more conservative \(F\)-statistic using the degrees of freedom given even though a corrected \(F\)-statistic is not shown for some reason.

13.7 ANOVA results from aov()

The uncorrected results from the ez package are the same as the aov() function in base R, shown below.

m <- aov(WPM ~ Keyboard * Posture + Error(Subject/Posture),
        data=mbltxt) # fit model
summary(m)

Error: Subject
          Df Sum Sq Mean Sq F value        Pr(>F)    
Keyboard   1  96.35   96.35   124.4 0.00000000016 ***
Residuals 22  17.04    0.77                          
---
Signif. codes:  0 '***' 0.001 '**' 0.01 '*' 0.05 '.' 0.1 ' ' 1

Error: Subject:Posture
                 Df Sum Sq Mean Sq F value              Pr(>F)    
Posture           2  749.6   374.8   381.5 <0.0000000000000002 ***
Keyboard:Posture  2  308.8   154.4   157.2 <0.0000000000000002 ***
Residuals        44   43.2     1.0                                
---
Signif. codes:  0 '***' 0.001 '**' 0.01 '*' 0.05 '.' 0.1 ' ' 1

13.7.1 Manual post hoc pairwise comparisons

Because the ANOVA table showed a significant interaction effect and the significance of that interaction effect was borne out by the small p[GG] value, it makes sense to conduct post hoc pairwise comparisons. These require reshaping the data to a wide format because the \(t\) test expects data in that format.

mbltxt.wide <- dcast(mbltxt, Subject + Keyboard ~ Posture,
                    value.var="WPM")
head(mbltxt.wide)
  Subject Keyboard     Sit   Stand    Walk
1       1   iPhone 20.2145 23.7485 20.7960
2       2   iPhone 20.8805 23.2595 19.1305
3       3   iPhone 21.2635 23.4945 20.8545
4       4   iPhone 20.7080 23.9220 18.2575
5       5   iPhone 21.0075 23.4700 17.7105
6       6   iPhone 19.9115 24.2975 19.8550
sit <- t.test(mbltxt.wide$Sit ~ Keyboard, data=mbltxt.wide)
std <- t.test(mbltxt.wide$Stand ~ Keyboard, data=mbltxt.wide)
wlk <- t.test(mbltxt.wide$Walk ~ Keyboard, data=mbltxt.wide)
p.adjust(c(sit$p.value, std$p.value, wlk$p.value), method="holm")
[1] 0.00000000038424901 0.00000004622384198 0.00000000001450214

The above \(p\)-values indicate significant differences for all three.

13.7.2 Compare iPhone ‘sit’ and ‘walk’

par(pin=c(2.75,1.25),cex=0.5)
tst<-t.test(mbltxt.wide[mbltxt.wide$Keyboard == "iPhone",]$Sit,
       mbltxt.wide[mbltxt.wide$Keyboard == "iPhone",]$Walk,
       paired=TRUE)
tst

    Paired t-test

data:  mbltxt.wide[mbltxt.wide$Keyboard == "iPhone", ]$Sit and mbltxt.wide[mbltxt.wide$Keyboard == "iPhone", ]$Walk
t = 3.6259, df = 11, p-value = 0.003985
alternative hypothesis: true mean difference is not equal to 0
95 percent confidence interval:
 0.6772808 2.7695525
sample estimates:
mean difference 
       1.723417 
par(pin=c(2.75,1.25),cex=0.5)
boxplot(mbltxt.wide[mbltxt.wide$Keyboard == "iPhone",]$Sit,
        mbltxt.wide[mbltxt.wide$Keyboard == "iPhone",]$Walk,
        xlab="iPhone.Sit vs. iPhone.Walk", ylab="WPM")

13.8 What if ANOVA assumptions aren’t met? (Nonparametric approach to factorial ANOVA)

The rest of this section concerns a nonparametric approach developed at the University of Washington.

13.8.1 The Aligned Rank Transform (ART) procedure

http://depts.washington.edu/aimgroup/proj/art/

13.8.2 Explore the Error_Rate data

s <- mbltxt |>
  group_by(Keyboard,Posture) |>
  summarize(
    WPM.median=median(Error_Rate),
    WPM.mean=mean(Error_Rate),
    WPM.sd=sd(Error_Rate)
  )
`summarise()` has grouped output by 'Keyboard'. You can override using the
`.groups` argument.
s
# A tibble: 6 × 5
# Groups:   Keyboard [2]
  Keyboard Posture WPM.median WPM.mean  WPM.sd
  <fct>    <fct>        <dbl>    <dbl>   <dbl>
1 Galaxy   Sit         0.019    0.0194 0.00243
2 Galaxy   Stand       0.0305   0.0307 0.00406
3 Galaxy   Walk        0.0658   0.0632 0.00575
4 iPhone   Sit         0.0205   0.0199 0.00248
5 iPhone   Stand       0.0302   0.0298 0.00258
6 iPhone   Walk        0.04     0.0399 0.00405

13.8.3 Histograms of Error_Rate

ggplot(mbltxt,aes(Error_Rate,fill=Keyboard)) +
  geom_histogram(bins=20,alpha=0.9,position="dodge",show.legend=FALSE) +
  scale_color_brewer() +
  scale_fill_brewer() +
  facet_grid(Keyboard~Posture) +
  theme_tufte(base_size=8)

13.8.4 Box plots of Error_Rate

ggplot(mbltxt,aes(Keyboard,Error_Rate,fill=Keyboard)) +
  geom_boxplot(show.legend=FALSE) +
  scale_fill_brewer(palette="Greens") +
  facet_wrap(~Posture) +
  theme_tufte(base_size=7)

13.8.5 Interaction plot of Error_Rate

par(pin=c(2.75,1.25),cex=0.5)
with(mbltxt,
     interaction.plot(Posture, Keyboard, Error_Rate,
                      ylim=c(0, max(mbltxt$Error_Rate))))

13.8.6 Aligned Rank Transform on Error_Rate

pacman::p_load(ARTool) # for art, artlm
m <- art(Error_Rate ~ Keyboard * Posture + (1|Subject), data=mbltxt) # uses LMM
anova(m) # report anova
boundary (singular) fit: see help('isSingular')
Analysis of Variance of Aligned Rank Transformed Data

Table Type: Analysis of Deviance Table (Type III Wald F tests with Kenward-Roger df) 
Model: Mixed Effects (lmer)
Response: art(Error_Rate)

                         F Df Df.res                 Pr(>F)    
1 Keyboard          89.450  1     22  0.0000000032959106085 ***
2 Posture          274.704  2     44 < 0.000000000000000222 ***
3 Keyboard:Posture  78.545  2     44  0.0000000000000030298 ***
---
Signif. codes:   0 '***' 0.001 '**' 0.01 '*' 0.05 '.' 0.1 ' ' 1 

13.8.7 Examine the normality assumption

par(pin=c(2.75,1.25),cex=0.5)
shapiro.test(residuals(m)) # normality?

    Shapiro-Wilk normality test

data:  residuals(m)
W = 0.98453, p-value = 0.5227
qqnorm(residuals(m)); qqline(residuals(m)) # seems to conform

13.8.8 Interaction plot

par(pin=c(2.75,1.25),cex=0.5)
with(mbltxt,
     interaction.plot(Posture, Keyboard, Error_Rate,
              ylim=c(0, max(mbltxt$Error_Rate)))) # for convenience

13.8.9 Conduct post hoc pairwise comparisons within each factor

#. pacman::p_load(emmeans) # instead of lsmeans
#. for backward compatibility, emmeans provides an lsmeans() function
lsmeans(artlm(m, "Keyboard"), pairwise ~ Keyboard)
NOTE: Results may be misleading due to involvement in interactions
$lsmeans
 Keyboard lsmean   SE df lower.CL upper.CL
 Galaxy     52.3 2.36 22     47.4     57.2
 iPhone     20.7 2.36 22     15.8     25.6

Results are averaged over the levels of: Posture 
Degrees-of-freedom method: kenward-roger 
Confidence level used: 0.95 

$contrasts
 contrast        estimate   SE df t.ratio p.value
 Galaxy - iPhone     31.6 3.34 22   9.458  <.0001

Results are averaged over the levels of: Posture 
Degrees-of-freedom method: kenward-roger 
lsmeans(artlm(m, "Posture"), pairwise ~ Posture)
NOTE: Results may be misleading due to involvement in interactions
$lsmeans
 Posture lsmean   SE   df lower.CL upper.CL
 Sit       12.5 1.47 65.9     9.57     15.4
 Stand     36.5 1.47 65.9    33.57     39.4
 Walk      60.5 1.47 65.9    57.57     63.4

Results are averaged over the levels of: Keyboard 
Degrees-of-freedom method: kenward-roger 
Confidence level used: 0.95 

$contrasts
 contrast     estimate   SE df t.ratio p.value
 Sit - Stand       -24 2.05 44 -11.720  <.0001
 Sit - Walk        -48 2.05 44 -23.439  <.0001
 Stand - Walk      -24 2.05 44 -11.720  <.0001

Results are averaged over the levels of: Keyboard 
Degrees-of-freedom method: kenward-roger 
P value adjustment: tukey method for comparing a family of 3 estimates 
#. Warning: don't do the following in ART!
#lsmeans(artlm(m, "Keyboard : Posture"), pairwise ~ Keyboard : Posture)

The above contrast-testing method is invalid for cross-factor pairwise comparisons in ART. and you can’t just grab aligned-ranks for manual \(t\)-tests. instead, use testInteractions() from the phia package to perform “interaction contrasts.” See vignette("art-contrasts").

pacman::p_load(phia)
testInteractions(artlm(m, "Keyboard:Posture"),
                 pairwise=c("Keyboard", "Posture"), adjustment="holm")
boundary (singular) fit: see help('isSingular')
Chisq Test: 
P-value adjustment method: holm
                             Value     SE Df    Chisq          Pr(>Chisq)    
Galaxy-iPhone :  Sit-Stand  -5.083 6.8028  1   0.5584              0.4549    
Galaxy-iPhone :   Sit-Walk -76.250 6.8028  1 125.6340 <0.0000000000000002 ***
Galaxy-iPhone : Stand-Walk -71.167 6.8028  1 109.4412 <0.0000000000000002 ***
---
Signif. codes:  0 '***' 0.001 '**' 0.01 '*' 0.05 '.' 0.1 ' ' 1

In the output, A-B : C-D is interpreted as a difference-of-differences, i.e., the difference between (A-B | C) and (A-B | D). In words, is the difference between A and B significantly different in condition C from condition D?

13.9 Experiments with interaction effects

This section reports on three experiments with possible interaction effects: Avatars, Notes, and Social media value. To work through the questions, you need the three csv files containing the data: avatars.csv, notes.csv, and socialvalue.csv.

These experiments may be between-subjects, within-subjects, or mixed. To be a mixed factorial design, there would have to be at least two independent variables and at least one within-subjects factor and at least one between-subjects factor.

13.9.1 Sentiments about Avatars among males and females (Interaction effects)

Thirty males and thirty females were shown an avatar that was either male or female and asked to write a story about that avatar. The number of positive sentiments in the story were summed. What kind of experimental design is this? [Answer: It is a \(2\times 2\) between-subjects design with factors for Sex (M, F) and Avatar (M, F).]

source('include.R')
avatars <- read_csv(paste0("data","/avatars.csv"))
avatars$Subject <- factor(avatars$Subject)
summary(avatars)
    Subject       Sex               Avatar            Positives    
 1      : 1   Length:60          Length:60          Min.   : 32.0  
 2      : 1   Class :character   Class :character   1st Qu.: 65.0  
 3      : 1   Mode  :character   Mode  :character   Median : 84.0  
 4      : 1                                         Mean   : 85.1  
 5      : 1                                         3rd Qu.:104.2  
 6      : 1                                         Max.   :149.0  
 (Other):54                                                        

What’s the average number of positive sentiments for the most positive combination of Sex and Avatar?

plyr::ddply(avatars,~Sex*Avatar,summarize,
      Pos.mean=mean(Positives),
      Pos.sd=sd(Positives))
     Sex Avatar  Pos.mean   Pos.sd
1 Female Female  63.13333 17.48414
2 Female   Male  85.20000 25.31008
3   Male Female 100.73333 18.72152
4   Male   Male  91.33333 19.66384

Create an interaction plot with Sex on the X-Axis and Avatar as the traces. Do the lines cross? Do the same for reversed axes.

par(pin=c(2.75,1.25),cex=0.5)
with(avatars,interaction.plot(Sex,Avatar,Positives,
                  ylim=c(0,max(avatars$Positives))))

with(avatars,interaction.plot(Avatar,Sex,Positives,
                  ylim=c(0,max(avatars$Positives))))

Conduct a factorial ANOVA on Positives by Sex and Avatar and report the largest \(F\)-statistic. Report which effects are significant.

m<-ezANOVA(dv=Positives,between=c(Sex,Avatar),
       wid=Subject,data=avatars)
Warning: Converting "Sex" to factor for ANOVA.
Warning: Converting "Avatar" to factor for ANOVA.
Coefficient covariances computed by hccm()
m$ANOVA
      Effect DFn DFd         F            p p<.05        ges
1        Sex   1  56 17.041756 0.0001228287     * 0.23331526
2     Avatar   1  56  1.429598 0.2368686270       0.02489305
3 Sex:Avatar   1  56  8.822480 0.0043757511     * 0.13610216

Conduct planned pairwise comparisons using independent-samples \(t\)-tests. Ask whether females produced different numbers of positive sentiments for male vs female avatars. Then ask whether males did the same. Assume equal variances and use Holm’s sequential Bonferroni procedure to correct for multiple comparisons.

f<-t.test(avatars[avatars$Sex=="Female" & avatars$Avatar=="Male",]$Positives,
      avatars[avatars$Sex=="Female" & avatars$Avatar=="Female",]$Positives,
      var.equal=TRUE)
f

    Two Sample t-test

data:  avatars[avatars$Sex == "Female" & avatars$Avatar == "Male", ]$Positives and avatars[avatars$Sex == "Female" & avatars$Avatar == "Female", ]$Positives
t = 2.7782, df = 28, p-value = 0.009647
alternative hypothesis: true difference in means is not equal to 0
95 percent confidence interval:
  5.796801 38.336533
sample estimates:
mean of x mean of y 
 85.20000  63.13333 
m<-t.test(avatars[avatars$Sex=="Male" & avatars$Avatar=="Male",]$Positives,
      avatars[avatars$Sex=="Male" & avatars$Avatar=="Female",]$Positives,
      var.equal=TRUE)
m

    Two Sample t-test

data:  avatars[avatars$Sex == "Male" & avatars$Avatar == "Male", ]$Positives and avatars[avatars$Sex == "Male" & avatars$Avatar == "Female", ]$Positives
t = -1.3409, df = 28, p-value = 0.1907
alternative hypothesis: true difference in means is not equal to 0
95 percent confidence interval:
 -23.759922   4.959922
sample estimates:
mean of x mean of y 
 91.33333 100.73333 
p.adjust(c(f$p.value,m$p.value),method="holm")
[1] 0.01929438 0.19073468

13.9.2 Writing notes with builtin or addon apps on two phones (mixed factorial design)

The notes.csv file describes a study in which iPhone and Android owners used a built-in note-taking app then a third-party note-taking app or vice versa. What kind of experimental design is this? (Answer: A \(2 \times 2\) mixed factorial design with a between-subjects factor for Phone (iPhone, Android) and a within-subjects factor for Notes (Built-in, Add-on).)

notes <- read_csv(paste0("data","/notes.csv"))
notes$Subject<-factor(notes$Subject)
notes$Order<-factor(notes$Order)
summary(notes)
    Subject      Phone              Notes           Order      Words      
 1      : 2   Length:40          Length:40          1:20   Min.   :259.0  
 2      : 2   Class :character   Class :character   2:20   1st Qu.:421.8  
 3      : 2   Mode  :character   Mode  :character          Median :457.0  
 4      : 2                                                Mean   :459.2  
 5      : 2                                                3rd Qu.:518.5  
 6      : 2                                                Max.   :598.0  
 (Other):28                                                               

What’s the average number of words recorded for the most heavily used combination of Phone and Notes?

plyr::ddply(notes, ~Phone*Notes,summarize,
         Words.mean=mean(Words),Words.sd=sd(Words))
    Phone    Notes Words.mean Words.sd
1 Android   Add-on      388.1 42.38828
2 Android Built-in      410.9 77.49043
3  iPhone   Add-on      504.2 47.29529
4  iPhone Built-in      533.7 48.04176

Create an interaction plot with Phone on the X-Axis and Notes as the traces. Do the lines cross? Do the same for reversed axes.

par(pin=c(2.75,1.25),cex=0.5)
with(notes,interaction.plot(Phone,Notes,Words,
                ylim=c(0,max(notes$Words))))

with(notes,interaction.plot(Notes,Phone,Words,
                ylim=c(0,max(notes$Words))))

Test for an order effect in the presentation of order of the Notes factor. Report the \(p\)-value.

m<-ezANOVA(dv=Words,between=Phone,within=Order,wid=Subject,data=notes)
Warning: Converting "Phone" to factor for ANOVA.
m$ANOVA
       Effect DFn DFd          F              p p<.05        ges
2       Phone   1  18 43.5625695 0.000003375888     * 0.56875437
3       Order   1  18  0.5486763 0.468412565373       0.01368098
4 Phone:Order   1  18  3.0643695 0.097051222945       0.07189858

Conduct a factorial ANOVA on Words by Phone and Notes. Report the largest \(F\)-statistic.

m<-ezANOVA(dv=Words,between=Phone,within=Notes,wid=Subject,data=notes)
Warning: Converting "Notes" to factor for ANOVA.
Warning: Converting "Phone" to factor for ANOVA.
m$ANOVA
       Effect DFn DFd           F              p p<.05         ges
2       Phone   1  18 43.56256949 0.000003375888     * 0.562185697
3       Notes   1  18  2.35976941 0.141892091826       0.057972811
4 Phone:Notes   1  18  0.03872717 0.846195079087       0.001008948

Conduct paired-samples \(t\)-tests to answer two questions. First, did iPhone user enter different numbers of words using the built-in notes app versus the add-on notes app? Second, same for Android. Assume equal variances and use Holm’s sequential Bonferroni procedure to correct for multiple comparisons. Report the lowest adjusted \(p\)-value.

notes.wide<-dcast(notes,Subject+Phone~Notes,value.var="Words")
head(notes.wide)
  Subject   Phone Add-on Built-in
1       1  iPhone    464      561
2       2 Android    433      428
3       3  iPhone    598      586
4       4 Android    347      448
5       5  iPhone    478      543
6       6 Android    365      445
i<-t.test(notes.wide[notes.wide$Phone=="iPhone",]$'Add-on',
      notes.wide[notes.wide$Phone=="iPhone",]$'Built-in',
      paired=TRUE,var.equal=TRUE)
i

    Paired t-test

data:  notes.wide[notes.wide$Phone == "iPhone", ]$"Add-on" and notes.wide[notes.wide$Phone == "iPhone", ]$"Built-in"
t = -1.8456, df = 9, p-value = 0.09804
alternative hypothesis: true mean difference is not equal to 0
95 percent confidence interval:
 -65.658758   6.658758
sample estimates:
mean difference 
          -29.5 
a<-t.test(notes.wide[notes.wide$Phone=="Android",]$'Add-on',
      notes.wide[notes.wide$Phone=="Android",]$'Built-in',
      paired=TRUE,var.equal=TRUE)
a

    Paired t-test

data:  notes.wide[notes.wide$Phone == "Android", ]$"Add-on" and notes.wide[notes.wide$Phone == "Android", ]$"Built-in"
t = -0.75847, df = 9, p-value = 0.4676
alternative hypothesis: true mean difference is not equal to 0
95 percent confidence interval:
 -90.80181  45.20181
sample estimates:
mean difference 
          -22.8 
p.adjust(c(i$p.value,a$p.value),method="holm")
[1] 0.1960779 0.4675674

13.9.3 Social media value judged by people after watching clips (two-by-two within subject design)

The file socialvalue.csv describes a study of people viewing a pos or neg film clip then going onto social media and judging the value of the first 100 posts they see. The number of valued posts was recorded. What kind of experimental design is this? [Answer: A \(2\times 2\) within-subject design with factors for Clip (positive, negative) and Social (Facebook, Twitter).]

sv <- read_csv(paste0("data","/socialvalue.csv"))
sv$Subject<-factor(sv$Subject)
sv$Clip<-factor(sv$Clip)
sv$Social<-factor(sv$Social)
sv$ClipOrder<-factor(sv$ClipOrder)
sv$SocialOrder<-factor(sv$SocialOrder)
summary(sv)
    Subject         Clip    ClipOrder      Social   SocialOrder     Valued    
 1      : 4   negative:32   1:32      Facebook:32   1:32        Min.   :13.0  
 2      : 4   positive:32   2:32      Twitter :32   2:32        1st Qu.:52.0  
 3      : 4                                                     Median :56.0  
 4      : 4                                                     Mean   :57.3  
 5      : 4                                                     3rd Qu.:67.0  
 6      : 4                                                     Max.   :95.0  
 (Other):40                                                                   

What’s the average number of valued posts for the most valued combination of Clip and Social?

plyr::ddply(sv, ~Clip*Social,summarize, Valued.mean=mean(Valued),
      Valued.sd=sd(Valued))
      Clip   Social Valued.mean Valued.sd
1 negative Facebook     46.3125 22.285178
2 negative  Twitter     55.5625  5.032809
3 positive Facebook     68.7500 21.151832
4 positive  Twitter     58.5625  5.656486

Create an interaction plot with Social on the \(X\)-Axis and Clip as the traces. Do the lines cross? Do the same for reversed axes.

par(pin=c(2.75,1.25),cex=0.5)
with(sv,interaction.plot(Social,Clip,Valued,
             ylim=c(0,max(sv$Valued))))

with(sv,interaction.plot(Clip,Social,Valued,
             ylim=c(0,max(sv$Valued))))

Test for an order effect in the presentation of order of the ClipOrder or SocialOrder factor. Report the \(p\)-values.

m<-ezANOVA(dv=Valued,within=c(ClipOrder,SocialOrder),wid=Subject,data=sv)
m$ANOVA
                 Effect DFn DFd          F         p p<.05          ges
2             ClipOrder   1  15 0.93707354 0.3483818       0.0253831509
3           SocialOrder   1  15 0.81236528 0.3816660       0.0143842018
4 ClipOrder:SocialOrder   1  15 0.01466581 0.9052172       0.0001913088

Conduct a factorial ANOVA on Valued by Clip and Social. Report the largest \(F\)-statistic.

m<-ezANOVA(dv=Valued,within=c(Clip,Social),wid=Subject,data=sv)
m$ANOVA
       Effect DFn DFd          F          p p<.05          ges
2        Clip   1  15 6.99533219 0.01837880     * 0.1469889054
3      Social   1  15 0.01466581 0.90521722       0.0002340033
4 Clip:Social   1  15 6.11355984 0.02586779     * 0.0914169000

Conduct paired-samples \(t\)-tests to answer two questions. First, on Facebook, were the number of valued posts different after watching a positive or negative clip. Second, same on Twitter. Assume equal variances and use Holm’s sequential Bonferroni procedure to correct for multiple comparisons. Report the lowest adjusted \(p\)-value.

sv.wide<-dcast(sv,Subject+Social~Clip,value.var="Valued")
head(sv.wide)
  Subject   Social negative positive
1       1 Facebook       38       85
2       1  Twitter       52       53
3       2 Facebook       73       25
4       2  Twitter       52       54
5       3 Facebook       25       95
6       3  Twitter       53       70
f<-t.test(sv.wide[sv.wide$Social=="Facebook",]$positive,
      sv.wide[sv.wide$Social=="Facebook",]$negative,
      paired=TRUE,var.equal=TRUE)
f

    Paired t-test

data:  sv.wide[sv.wide$Social == "Facebook", ]$positive and sv.wide[sv.wide$Social == "Facebook", ]$negative
t = 2.5929, df = 15, p-value = 0.02039
alternative hypothesis: true mean difference is not equal to 0
95 percent confidence interval:
  3.993 40.882
sample estimates:
mean difference 
        22.4375 
t<-t.test(sv.wide[sv.wide$Social=="Twitter",]$positive,
      sv.wide[sv.wide$Social=="Twitter",]$negative,
      paired=TRUE,var.equal=TRUE)
t

    Paired t-test

data:  sv.wide[sv.wide$Social == "Twitter", ]$positive and sv.wide[sv.wide$Social == "Twitter", ]$negative
t = 1.9926, df = 15, p-value = 0.06482
alternative hypothesis: true mean difference is not equal to 0
95 percent confidence interval:
 -0.2089939  6.2089939
sample estimates:
mean difference 
              3 
p.adjust(c(f$p.value,t$p.value),method="holm")
[1] 0.04077153 0.06482275

Conduct a nonparametric Aligned Rank Transform Procedure on Valued by Clip and Social.

m<-art(Valued~Clip*Social+(1|Subject),data=sv)
anova(m)
boundary (singular) fit: see help('isSingular')
boundary (singular) fit: see help('isSingular')
boundary (singular) fit: see help('isSingular')
Analysis of Variance of Aligned Rank Transformed Data

Table Type: Analysis of Deviance Table (Type III Wald F tests with Kenward-Roger df) 
Model: Mixed Effects (lmer)
Response: art(Valued)

                     F Df Df.res     Pr(>F)    
1 Clip        17.13224  1     45 0.00015089 ***
2 Social       0.49281  1     45 0.48629341    
3 Clip:Social 11.31751  1     45 0.00157736  **
---
Signif. codes:   0 '***' 0.001 '**' 0.01 '*' 0.05 '.' 0.1 ' ' 1 

Conduct interaction contrasts to discover whether the difference on Facebook was itself different from the difference on Twitter. Report the \(\chi^2\) statistic.

testInteractions(artlm(m,"Clip:Social"),
         pairwise=c("Clip","Social"),adjustment="holm")
boundary (singular) fit: see help('isSingular')
Chisq Test: 
P-value adjustment method: holm
                                      Value     SE Df  Chisq Pr(>Chisq)    
negative-positive : Facebook-Twitter -29.25 8.6946  1 11.318  0.0007678 ***
---
Signif. codes:  0 '***' 0.001 '**' 0.01 '*' 0.05 '.' 0.1 ' ' 1

13.10 What if errors are not normally distributed? (Generalized linear models)

Here are three examples of generalized linear models. The first is analyzed using nominal logistic regression, the second is analyzed via ordinal logistic regression, and the third is analyzed via Poisson regression.

As Wikipedia tells us, a generalized linear model or GLM is a flexible generalization of ordinary linear regression that allows for response variables with error distribution models other than a normal distribution. There is also something called a general linear model but it is not the same thing as a generalized linear model. It is just the general form of the ordinary linear regression model: \(\mathbfit{Y=X\beta+\epsilon}\).

GLMs that we examine here are good for between-subjects studies so we’ll actually recode one of our fictitious data sets to be between subjects just to have an example to use.

13.10.1 Preferences among websites by males and females (GLM 1: Nominal logistic regression for preference responses)

13.10.3 Judgments of perceived effort (GLM 2: Ordinal logistic regression for Likert responses)

13.10.5 Counting errors in a task (GLM 3: Poisson regression for count responses)

13.11 More experiments without normally distributed errors (More generalized linear models)

13.11.1 Preference between touchpads vs trackballs by non / disabled people and males / females

This study examines whether participants of either sex with or without a disability prefer touchpads or trackballs. Start by examining the data and determining how many participants are involved.

source('include.R')
dps <- read_csv(paste0("data","/deviceprefssex.csv"))
dps$Subject<-as.factor(dps$Subject)
dps$Disability<-as.factor(dps$Disability)
dps$Sex<-as.factor(dps$Sex)
dps$Pref<-as.factor(dps$Pref)
summary(dps)
    Subject   Disability Sex           Pref   
 1      : 1   0:18       F:15   touchpad :21  
 2      : 1   1:12       M:15   trackball: 9  
 3      : 1                                   
 4      : 1                                   
 5      : 1                                   
 6      : 1                                   
 (Other):24                                   

Use binomial regression to examine Pref by Disability and Sex. Report the \(p\)-value of the interaction of Disability\(\times\)Sex.

contrasts(dps$Disability) <- "contr.sum"
contrasts(dps$Sex) <- "contr.sum"
m<-glm(Pref ~ Disability*Sex, data=dps, family=binomial)
Anova(m, type=3)
Analysis of Deviance Table (Type III tests)

Response: Pref
               LR Chisq Df Pr(>Chisq)   
Disability      10.4437  1   0.001231 **
Sex              2.8269  1   0.092695 . 
Disability:Sex   0.6964  1   0.403997   
---
Signif. codes:  0 '***' 0.001 '**' 0.01 '*' 0.05 '.' 0.1 ' ' 1

Now use multinomial regression for the same task and report the corresponding \(p\)-value.

pacman::p_load(nnet)
contrasts(dps$Disability) <- "contr.sum"
contrasts(dps$Sex) <- "contr.sum"
m<-multinom(Pref~Disability*Sex, data=dps)
# weights:  5 (4 variable)
initial  value 20.794415 
iter  10 value 13.023239
iter  20 value 13.010200
final  value 13.010184 
converged
Anova(m, type=3)
Analysis of Deviance Table (Type III tests)

Response: Pref
               LR Chisq Df Pr(>Chisq)   
Disability      10.4434  1   0.001231 **
Sex              2.8267  1   0.092710 . 
Disability:Sex   0.6961  1   0.404087   
---
Signif. codes:  0 '***' 0.001 '**' 0.01 '*' 0.05 '.' 0.1 ' ' 1

Now conduct post-hoc binomial tests for each Disability\(\times\)Sex combination.

m0<-binom.test(sum(dps[dps$Sex == "M" & dps$Disability == "0",]$Pref == "touchpad"),
               nrow(dps[dps$Sex == "M" & dps$Disability == "0",]),p=1/2)
m1<-binom.test(sum(dps[dps$Sex == "M" & dps$Disability == "1",]$Pref == "touchpad"),
               nrow(dps[dps$Sex == "M" & dps$Disability == "1",]),p=1/2)

f0<-binom.test(sum(dps[dps$Sex == "F" & dps$Disability == "0",]$Pref == "touchpad"),
               nrow(dps[dps$Sex == "F" & dps$Disability == "0",]),p=1/2)
f1<-binom.test(sum(dps[dps$Sex == "F" & dps$Disability == "1",]$Pref == "touchpad"),
               nrow(dps[dps$Sex == "F" & dps$Disability == "1",]),p=1/2)

p.adjust(c(m0$p.value, m1$p.value, f0$p.value,f1$p.value), method="holm")
[1] 0.0625000 1.0000000 0.1962891 1.0000000

13.11.2 Handwriting recognition speed between different tools and right-handed vs left-handed people

This study examined three handwriting recognizers, A, B, and C and participants who are either right-handed or left-handed. The response is the number of incorrectly recognized handwritten words out of every 100 handwritten words. Examine the data and tell how many participants were involved.

hw <- read_csv(paste0("data","/hwreco.csv"))
hw$Subject<-factor(hw$Subject)
hw$Recognizer<-factor(hw$Recognizer)
hw$Hand<-factor(hw$Hand)
summary(hw)
    Subject   Recognizer    Hand        Errors     
 1      : 1   A:17       Left :25   Min.   : 1.00  
 2      : 1   B:17       Right:25   1st Qu.: 3.00  
 3      : 1   C:16                  Median : 4.00  
 4      : 1                         Mean   : 4.38  
 5      : 1                         3rd Qu.: 6.00  
 6      : 1                         Max.   :11.00  
 (Other):44                                        

Create an interaction plot of Recognizer on the \(x\)-axis and Hand as the traces and tell how many times the traces cross.

par(pin=c(2.75,1.25),cex=0.5)
with(hw,interaction.plot(Recognizer,Hand,Errors,
                  ylim=c(0,max(hw$Errors))))

Test whether the Errors of each Recognizer fit a Poisson distribution. First fit the Poisson distribution using fitdist(), then test the fit using gofstat(). The null hypothesis of this test is that the data do not deviate from a Poisson distribution.

#. pacman::p_load(fitdistrplus)
fit<-fitdist(hw[hw$Recognizer == "A",]$Errors,
              "pois", discrete=TRUE)
gofstat(fit)
Chi-squared statistic:  1.807852 
Degree of freedom of the Chi-squared distribution:  2 
Chi-squared p-value:  0.4049767 
   the p-value may be wrong with some theoretical counts < 5  
Chi-squared table:
     obscounts theocounts
<= 2  4.000000   3.627277
<= 3  5.000000   3.168895
<= 5  4.000000   6.072436
> 5   4.000000   4.131392

Goodness-of-fit criteria
                               1-mle-pois
Akaike's Information Criterion   75.86792
Bayesian Information Criterion   76.70113
fit<-fitdist(hw[hw$Recognizer == "B",]$Errors,
              "pois", discrete=TRUE)
gofstat(fit)
Chi-squared statistic:  0.9192556 
Degree of freedom of the Chi-squared distribution:  2 
Chi-squared p-value:  0.6315187 
   the p-value may be wrong with some theoretical counts < 5  
Chi-squared table:
     obscounts theocounts
<= 3  5.000000   3.970124
<= 5  4.000000   5.800601
<= 6  3.000000   2.588830
> 6   5.000000   4.640444

Goodness-of-fit criteria
                               1-mle-pois
Akaike's Information Criterion   78.75600
Bayesian Information Criterion   79.58921
fit<-fitdist(hw[hw$Recognizer == "C",]$Errors,
              "pois", discrete=TRUE)
gofstat(fit)
Chi-squared statistic:  0.3521272 
Degree of freedom of the Chi-squared distribution:  2 
Chi-squared p-value:  0.8385646 
   the p-value may be wrong with some theoretical counts < 5  
Chi-squared table:
     obscounts theocounts
<= 2  5.000000   4.600874
<= 3  4.000000   3.347372
<= 4  3.000000   3.085858
> 4   4.000000   4.965897

Goodness-of-fit criteria
                               1-mle-pois
Akaike's Information Criterion   70.89042
Bayesian Information Criterion   71.66301

Now use Poisson regression to examine Errors by Recommender and Hand. Report the \(p\)-value for the Recognizer\(\times\)Hand interaction.

#. pacman::p_load(car)
contrasts(hw$Recognizer) <- "contr.sum"
contrasts(hw$Hand) <- "contr.sum"
m<-glm(Errors ~ Recognizer*Hand, data=hw, family=poisson)
Anova(m, type=3)
Analysis of Deviance Table (Type III tests)

Response: Errors
                LR Chisq Df Pr(>Chisq)   
Recognizer        4.8768  2   0.087299 . 
Hand              3.1591  1   0.075504 . 
Recognizer:Hand  12.9682  2   0.001528 **
---
Signif. codes:  0 '***' 0.001 '**' 0.01 '*' 0.05 '.' 0.1 ' ' 1

Conduct planned comparisons between left and right errors for each recognizer. Using glht() and lsm() will give all comparisons and we only want three so don’t correct for multiple comparisons automatically. That would overcorrect. Instead, extract the three relevant \(p\)-values manually and and use p.adjust() to correct for those.

#. pacman::p_load(multcomp) # for glht
#. pacman::p_load(lsmeans) # for lsm
summary(glht(m, lsm(pairwise ~ Recognizer * Hand)),
        test=adjusted(type="none"))

     Simultaneous Tests for General Linear Hypotheses

Fit: glm(formula = Errors ~ Recognizer * Hand, family = poisson, data = hw)

Linear Hypotheses:
                                     Estimate             Std. Error z value
A Left - B Left == 0   -0.8938178760220967245  0.2611164839334085275  -3.423
A Left - C Left == 0   -0.2231435513142102089  0.2999999999995567879  -0.744
A Left - A Right == 0  -0.8183103235139521647  0.2638329834140494268  -3.102
A Left - B Right == 0  -0.5306282510621709303  0.2818009309599122658  -1.883
A Left - C Right == 0  -0.5306282510621707083  0.2818009296931383578  -1.883
B Left - C Left == 0    0.6706743247078863490  0.2412090756617297493   2.780
B Left - A Right == 0   0.0755075525081443932  0.1943956309154351303   0.388
B Left - B Right == 0   0.3631896249599255166  0.2181595353674122828   1.665
B Left - C Right == 0   0.3631896249599259052  0.2181595337310957838   1.665
C Left - A Right == 0  -0.5951667721997420113  0.2441471751567036441  -2.438
C Left - B Right == 0  -0.3074846997479609434  0.2634611255758869675  -1.167
C Left - C Right == 0  -0.3074846997479604993  0.2634611242209316528  -1.167
A Right - B Right == 0  0.2876820724517811234  0.2214037213488908029   1.299
A Right - C Right == 0  0.2876820724517815120  0.2214037197365509302   1.299
B Right - C Right == 0  0.0000000000000003331  0.2425356234986859871   0.000
                       Pr(>|z|)    
A Left - B Left == 0   0.000619 ***
A Left - C Left == 0   0.456990    
A Left - A Right == 0  0.001925 ** 
A Left - B Right == 0  0.059702 .  
A Left - C Right == 0  0.059702 .  
B Left - C Left == 0   0.005428 ** 
B Left - A Right == 0  0.697704    
B Left - B Right == 0  0.095955 .  
B Left - C Right == 0  0.095955 .  
C Left - A Right == 0  0.014779 *  
C Left - B Right == 0  0.243171    
C Left - C Right == 0  0.243171    
A Right - B Right == 0 0.193822    
A Right - C Right == 0 0.193822    
B Right - C Right == 0 1.000000    
---
Signif. codes:  0 '***' 0.001 '**' 0.01 '*' 0.05 '.' 0.1 ' ' 1
(Adjusted p values reported -- none method)
p.adjust(c(0.001925,0.095955,0.243171),method="holm")
[1] 0.005775 0.191910 0.243171

The above analyses suggest that the error counts were Poisson-distributed. The above analyses suggest that there was a significant Recognizer\(\times\)Hand interaction. The above analyses suggest that for recognizer A, there were significantly more errors for right-handed participants than for left-handed participants.

13.11.3 Ease of booking international or domestic flights on three different services

This study describes flight bookings using one of three services, Expedia, Orbitz, or Priceline. Each booking was either International or Domestic and the Ease of each interaction was recorded on a 7 point Likert scale where 7 was easiest. Examine the data and determine the number of participants in the study.

bf <- read_csv(paste0("data","/bookflights.csv"))
bf$Subject<-factor(bf$Subject)
bf$International<-factor(bf$International)
bf$Website<-factor(bf$Website)
bf$International<-factor(bf$International)
bf$Ease<-as.ordered(bf$Ease)
summary(bf)
    Subject         Website    International Ease   
 1      :  1   Expedia  :200   0:300         1: 87  
 2      :  1   Orbitz   :200   1:300         2: 58  
 3      :  1   Priceline:200                 3:108  
 4      :  1                                 4:107  
 5      :  1                                 5: 95  
 6      :  1                                 6: 71  
 (Other):594                                 7: 74  

Draw an interaction plot with Website on the x-axis and International as the traces. Determine how many times the traces cross.

par(pin=c(2.75,1.25),cex=0.5)
with(bf,interaction.plot(Website,International,as.numeric(Ease),
                  ylim=c(0,max(as.numeric(bf$Ease)))))

Use ordinal logistic regression to examine Ease by Website and International. Report the \(p\)-value of the Website main effect.

#. pacman::p_load(MASS) # provides polr()
#. pacman::p_load(car) # provides Anova()
#. set sum-to-zero contrasts for the Anova call
contrasts(bf$Website) <- "contr.sum"
contrasts(bf$International) <- "contr.sum"
m <- polr(Ease ~ Website*International, data=bf, Hess=TRUE)
Anova(m, type=3)
Analysis of Deviance Table (Type III tests)

Response: Ease
                      LR Chisq Df           Pr(>Chisq)    
Website                  6.811  2              0.03319 *  
International            0.668  1              0.41383    
Website:International   90.590  2 < 0.0000000000000002 ***
---
Signif. codes:  0 '***' 0.001 '**' 0.01 '*' 0.05 '.' 0.1 ' ' 1

Conduct three pairwise comparisons of Ease between domestic and international for each service. Report the largest adjusted \(p\)-value. Use the same technique as above where you extracted the relevant unadjusted \(p\)-values manually and used p.adjust() to adjust them.

summary(as.glht(pairs(lsmeans(m, pairwise ~ Website * International))),
        test=adjusted(type="none"))

     Simultaneous Tests for General Linear Hypotheses

Linear Hypotheses:
                                                         Estimate Std. Error
Expedia International0 - Orbitz International0 == 0       -2.1442     0.2619
Expedia International0 - Priceline International0 == 0    -0.9351     0.2537
Expedia International0 - Expedia International1 == 0      -1.6477     0.2570
Expedia International0 - Orbitz International1 == 0       -0.3217     0.2490
Expedia International0 - Priceline International1 == 0    -0.7563     0.2517
Orbitz International0 - Priceline International0 == 0      1.2091     0.2555
Orbitz International0 - Expedia International1 == 0        0.4965     0.2505
Orbitz International0 - Orbitz International1 == 0         1.8225     0.2571
Orbitz International0 - Priceline International1 == 0      1.3879     0.2546
Priceline International0 - Expedia International1 == 0    -0.7126     0.2518
Priceline International0 - Orbitz International1 == 0      0.6134     0.2497
Priceline International0 - Priceline International1 == 0   0.1789     0.2501
Expedia International1 - Orbitz International1 == 0        1.3260     0.2524
Expedia International1 - Priceline International1 == 0     0.8914     0.2506
Orbitz International1 - Priceline International1 == 0     -0.4345     0.2477
                                                         z value
Expedia International0 - Orbitz International0 == 0       -8.189
Expedia International0 - Priceline International0 == 0    -3.686
Expedia International0 - Expedia International1 == 0      -6.411
Expedia International0 - Orbitz International1 == 0       -1.292
Expedia International0 - Priceline International1 == 0    -3.004
Orbitz International0 - Priceline International0 == 0      4.732
Orbitz International0 - Expedia International1 == 0        1.982
Orbitz International0 - Orbitz International1 == 0         7.089
Orbitz International0 - Priceline International1 == 0      5.452
Priceline International0 - Expedia International1 == 0    -2.830
Priceline International0 - Orbitz International1 == 0      2.457
Priceline International0 - Priceline International1 == 0   0.715
Expedia International1 - Orbitz International1 == 0        5.254
Expedia International1 - Priceline International1 == 0     3.557
Orbitz International1 - Priceline International1 == 0     -1.754
                                                                     Pr(>|z|)
Expedia International0 - Orbitz International0 == 0      0.000000000000000222
Expedia International0 - Priceline International0 == 0               0.000228
Expedia International0 - Expedia International1 == 0     0.000000000144349199
Expedia International0 - Orbitz International1 == 0                  0.196380
Expedia International0 - Priceline International1 == 0               0.002663
Orbitz International0 - Priceline International0 == 0    0.000002224658137262
Orbitz International0 - Expedia International1 == 0                  0.047498
Orbitz International0 - Orbitz International1 == 0       0.000000000001353362
Orbitz International0 - Priceline International1 == 0    0.000000049929329560
Priceline International0 - Expedia International1 == 0               0.004659
Priceline International0 - Orbitz International1 == 0                0.014023
Priceline International0 - Priceline International1 == 0             0.474476
Expedia International1 - Orbitz International1 == 0      0.000000148918528620
Expedia International1 - Priceline International1 == 0               0.000375
Orbitz International1 - Priceline International1 == 0                0.079408
                                                            
Expedia International0 - Orbitz International0 == 0      ***
Expedia International0 - Priceline International0 == 0   ***
Expedia International0 - Expedia International1 == 0     ***
Expedia International0 - Orbitz International1 == 0         
Expedia International0 - Priceline International1 == 0   ** 
Orbitz International0 - Priceline International0 == 0    ***
Orbitz International0 - Expedia International1 == 0      *  
Orbitz International0 - Orbitz International1 == 0       ***
Orbitz International0 - Priceline International1 == 0    ***
Priceline International0 - Expedia International1 == 0   ** 
Priceline International0 - Orbitz International1 == 0    *  
Priceline International0 - Priceline International1 == 0    
Expedia International1 - Orbitz International1 == 0      ***
Expedia International1 - Priceline International1 == 0   ***
Orbitz International1 - Priceline International1 == 0    .  
---
Signif. codes:  0 '***' 0.001 '**' 0.01 '*' 0.05 '.' 0.1 ' ' 1
(Adjusted p values reported -- none method)
p.adjust(c(1.44e-10,1.35e-12,0.474476),method="holm")
[1] 0.00000000028800 0.00000000000405 0.47447600000000

The above analyses indicate a significant main effect of Website on Ease. The above analyses indicate a significant interaction between Website and International. Expedia was perceived as significantly easier for booking international flights than domestic flights. Orbitz, on the other hand, was perceived as significantly easier for booking domestic flights than international flights.

13.12 Same person using different tools (Within subjects studies)

13.12.1 Two search engines compared

source('include.R')
ws <- read_csv(paste0("data","/websearch2.csv"))

How many subjects took part in this study?

ws$Subject<-factor(ws$Subject)
ws$Engine<-factor(ws$Engine)
summary(ws)
    Subject      Engine       Order        Searches         Effort    
 1      : 2   Bing  :30   Min.   :1.0   Min.   : 89.0   Min.   :1.00  
 2      : 2   Google:30   1st Qu.:1.0   1st Qu.:135.8   1st Qu.:2.00  
 3      : 2               Median :1.5   Median :156.5   Median :4.00  
 4      : 2               Mean   :1.5   Mean   :156.9   Mean   :3.90  
 5      : 2               3rd Qu.:2.0   3rd Qu.:175.2   3rd Qu.:5.25  
 6      : 2               Max.   :2.0   Max.   :241.0   Max.   :7.00  
 (Other):48                                                           
tail(ws)
# A tibble: 6 × 5
  Subject Engine Order Searches Effort
  <fct>   <fct>  <dbl>    <dbl>  <dbl>
1 28      Google     2      131      4
2 28      Bing       1      192      4
3 29      Google     1      162      5
4 29      Bing       2      163      3
5 30      Google     2      146      5
6 30      Bing       1      137      2

Thirty subjects participated.

What is the average number of searches for the engine with the largest average number of searches?

ws |>
  group_by(Engine) |>
  summarize(avg=mean(Searches))
# A tibble: 2 × 2
  Engine   avg
  <fct>  <dbl>
1 Bing    166.
2 Google  148.

Bing had 166 searches on average.

What is the \(p\)-value (four digits) from a paired-samples \(t\)-test of order effect?

#. pacman::p_load(reshape2)
ws.wide.order <- dcast(ws,Subject ~ Order, value.var="Searches")
tst<-t.test(ws.wide.order$"1",ws.wide.order$"2",paired=TRUE,var.equal=TRUE)
tst

    Paired t-test

data:  ws.wide.order$"1" and ws.wide.order$"2"
t = 0.34273, df = 29, p-value = 0.7343
alternative hypothesis: true mean difference is not equal to 0
95 percent confidence interval:
 -13.57786  19.04453
sample estimates:
mean difference 
       2.733333 

The \(p\)-value is 0.7343

What is the \(t\)-statistic (two digits) for a paired-samples \(t\)-test of Searches by Engine?

#. pacman::p_load(reshape2)
ws.wide.engine <- dcast(ws,Subject ~ Engine, value.var="Searches")
tst<-t.test(ws.wide.engine$"Bing",ws.wide.engine$"Google",paired=TRUE,var.equal=TRUE)
tst

    Paired t-test

data:  ws.wide.engine$Bing and ws.wide.engine$Google
t = 2.5021, df = 29, p-value = 0.01824
alternative hypothesis: true mean difference is not equal to 0
95 percent confidence interval:
  3.310917 32.955750
sample estimates:
mean difference 
       18.13333 

The \(t\)-statistic is 2.50.

What is the \(p\)-value (four digits) from a Wilcoxon signed-rank test on Effort?

#. pacman::p_load(coin)
wilcoxsign_test(Effort~Engine|Subject,data=ws,distribution="exact")

    Exact Wilcoxon-Pratt Signed-Rank Test

data:  y by x (pos, neg) 
     stratified by block
Z = 0.68343, p-value = 0.5016
alternative hypothesis: true mu is not equal to 0

The \(p\)-value is 0.5016.

13.12.2 Same but with three search engines

ws3 <- read_csv(paste0("data","/websearch3.csv"))

How many subjects took part in this study? ::: {.cell}

summary(ws3)
    Subject        Engine              Order      Searches         Effort     
 Min.   : 1.0   Length:90          Min.   :1   Min.   : 92.0   Min.   :1.000  
 1st Qu.: 8.0   Class :character   1st Qu.:1   1st Qu.:139.0   1st Qu.:3.000  
 Median :15.5   Mode  :character   Median :2   Median :161.0   Median :4.000  
 Mean   :15.5                      Mean   :2   Mean   :161.6   Mean   :4.256  
 3rd Qu.:23.0                      3rd Qu.:3   3rd Qu.:181.8   3rd Qu.:6.000  
 Max.   :30.0                      Max.   :3   Max.   :236.0   Max.   :7.000  
ws3$Subject<-as.factor(ws3$Subject)
ws3$Order<-as.factor(ws3$Order)
ws3$Engine<-as.factor(ws3$Engine)
tail(ws3)
# A tibble: 6 × 5
  Subject Engine Order Searches Effort
  <fct>   <fct>  <fct>    <dbl>  <dbl>
1 29      Google 3          157      5
2 29      Bing   1          195      4
3 29      Yahoo  2          182      5
4 30      Google 3          152      1
5 30      Bing   2          188      7
6 30      Yahoo  1          131      3

:::

Again, thirty subjects participated.

What is the average number of searches for the engine with the largest average number of searches?

plyr::ddply(ws3,~ Engine,summarize, Mean=mean(Searches))
  Engine     Mean
1   Bing 159.8333
2 Google 152.6667
3  Yahoo 172.4000

Yahoo required 172.40 searches on average.

Find Mauchly’s \(W\) criterion (four digits) as a value of violation of sphericity.

pacman::p_load(ez)
m = ezANOVA(dv=Searches, within=Order, wid=Subject, data=ws3)
m$Mauchly
  Effect         W         p p<.05
2  Order 0.9416469 0.4309561      

Mauchly’s \(W = 0.9416\), indicating that there is no violation of sphericity.

Conduct the appropriate ANOVA and give the \(p\)-value of the \(F\)-test (four digits).

m$ANOVA
  Effect DFn DFd        F        p p<.05       ges
2  Order   2  58 1.159359 0.320849       0.0278629

The relevant \(p\)-value is 0.3208.

Conduct a repeated measures ANOVA on Searches by Engine and give the Mauchly’s \(W\) criterion (four digits).

#. pacman::p_load(ez)
m <- ezANOVA(dv=Searches, within=Engine, wid=Subject, data=ws3)
m$Mauchly
  Effect         W         p p<.05
2 Engine 0.9420316 0.4334278      

Mauchly’s \(W = 0.9420\), indicating that there is no violation of sphericity.

Conduct the appropriate ANOVA and give the \(p\)-value of the \(F\)-test (four digits).

m$ANOVA
  Effect DFn DFd        F          p p<.05        ges
2 Engine   2  58 2.856182 0.06560302       0.06498641

The relevant \(p\)-value is 0.0656.

Conduct post-hoc paired sample \(t\)-tests among levels of Engine, assuming equal variances and using “holm” to correct for multiple comparisons. What is the smallest \(p\)-value (four digits)? ::: {.cell}

#. pacman::p_load(reshape2)
ws3.wide.engine <- dcast(ws3,Subject~Engine,value.var="Searches")
bi.go<-t.test(ws3.wide.engine$Bing,ws3.wide.engine$Google,paired=TRUE,var.equal=TRUE)
bi.ya<-t.test(ws3.wide.engine$Bing,ws3.wide.engine$Yahoo,paired=TRUE,var.equal=TRUE)
go.ya<-t.test(ws3.wide.engine$Google,ws3.wide.engine$Yahoo,paired=TRUE,var.equal=TRUE)
p.adjust(c(bi.go$p.value,bi.ya$p.value,go.ya$p.value),method="holm")
[1] 0.37497103 0.37497103 0.05066714

::: The smallest \(p\)-value is 0.0507.

Conduct a Friedman (nonparametric) test on Effort. Find the \(\chi^2\) statistic (four digits).

#. pacman::p_load(coin)
friedman_test(Effort~Engine|Subject,data=ws3,distribution="asymptotic")

    Asymptotic Friedman Test

data:  Effort by
     Engine (Bing, Google, Yahoo) 
     stratified by Subject
chi-squared = 8.0182, df = 2, p-value = 0.01815

\(\chi^2=8.0182\)

Conduct post hoc pairwise Wilcoxon signed-rank tests on Effort by Engine with “holm” for multiple comparison correction. Give the smallest \(p\)-value (four digits).

#. pacman::p_load(reshape2)
ws3.wide.effort <- dcast(ws3,Subject~Engine,value.var="Effort")
bi.go<-wilcox.test(ws3.wide.effort$Bing,ws3.wide.effort$Google,paired=TRUE,exact=FALSE)
bi.ya<-wilcox.test(ws3.wide.effort$Bing,ws3.wide.effort$Yahoo,paired=TRUE,exact=FALSE)
go.ya<-wilcox.test(ws3.wide.effort$Google,ws3.wide.effort$Yahoo,paired=TRUE,exact=FALSE)
p.adjust(c(bi.go$p.value,bi.ya$p.value,go.ya$p.value),method="holm")
[1] 0.69319567 0.03085190 0.04533852

The smallest \(p\)-value is 0.0309.

13.13 Experiments with people in groups doing tasks with different tools (Mixed models)

Mixed models contain both fixed effects and random effects. Following are linear mixed models and generalized linear mixed models examples. Recall that linear models have normally distributed residuals while generalized linear models may have residuals following other distributions.

13.13.1 Searching to find facts and effort of searching (A linear mixed model)

Load websearch3.csv. It describes a test of the number of searches required to find out a hundred facts and the perceived effort of searching. How many subjects participated?

source('include.R')
ws <- read_csv(paste0("data","/websearch3.csv"))
ws<-within(ws,Subject<-factor(Subject))
ws<-within(ws,Order<-factor(Order))
ws<-within(ws,Engine<-factor(Engine))
tail(ws)
# A tibble: 6 × 5
  Subject Engine Order Searches Effort
  <fct>   <fct>  <fct>    <dbl>  <dbl>
1 29      Google 3          157      5
2 29      Bing   1          195      4
3 29      Yahoo  2          182      5
4 30      Google 3          152      1
5 30      Bing   2          188      7
6 30      Yahoo  1          131      3
summary(ws)
    Subject      Engine   Order     Searches         Effort     
 1      : 3   Bing  :30   1:30   Min.   : 92.0   Min.   :1.000  
 2      : 3   Google:30   2:30   1st Qu.:139.0   1st Qu.:3.000  
 3      : 3   Yahoo :30   3:30   Median :161.0   Median :4.000  
 4      : 3                      Mean   :161.6   Mean   :4.256  
 5      : 3                      3rd Qu.:181.8   3rd Qu.:6.000  
 6      : 3                      Max.   :236.0   Max.   :7.000  
 (Other):72                                                     

What was the average number of Search instances for each Engine?

ws |>
  group_by(Engine) |>
  summarize(median=median(Searches),
        avg=mean(Searches),
        sd=sd(Searches))
# A tibble: 3 × 4
  Engine median   avg    sd
  <fct>   <dbl> <dbl> <dbl>
1 Bing     162.  160.  30.6
2 Google   152   153.  24.6
3 Yahoo    170.  172.  37.8
plyr::ddply(ws,~Engine,summarize,avg=mean(Searches))
  Engine      avg
1   Bing 159.8333
2 Google 152.6667
3  Yahoo 172.4000

Conduct a linear mixed model analysis of variance on Search by Engine and report the \(p\)-value.

pacman::p_load(lme4) # for lmer
pacman::p_load(lmerTest)
#. pacman::p_load(car) # for Anova
contrasts(ws$Engine) <- "contr.sum"
m <- lmer(Searches ~ Engine + (1|Subject), data=ws)
boundary (singular) fit: see help('isSingular')
Anova(m, type=3, test.statistic="F")
Analysis of Deviance Table (Type III Wald F tests with Kenward-Roger df)

Response: Searches
                    F Df Df.res               Pr(>F)    
(Intercept) 2374.8089  1     29 < 0.0000000000000002 ***
Engine         3.0234  2     58              0.05636 .  
---
Signif. codes:  0 '***' 0.001 '**' 0.01 '*' 0.05 '.' 0.1 ' ' 1

Conduct simultaneous pairwise comparisons among all levels of Engine, despite the previous \(p\)-value. Report the adjusted(by Holm’s sequential Bonferroni procedure) \(p\)-values.

#. pacman::p_load(multcomp)
summary(glht(m, mcp(Engine="Tukey")),
    test=adjusted(type="holm")) # Tukey means compare all pairs

     Simultaneous Tests for General Linear Hypotheses

Multiple Comparisons of Means: Tukey Contrasts


Fit: lmer(formula = Searches ~ Engine + (1 | Subject), data = ws)

Linear Hypotheses:
                    Estimate Std. Error z value Pr(>|z|)  
Google - Bing == 0    -7.167      8.124  -0.882   0.3777  
Yahoo - Bing == 0     12.567      8.124   1.547   0.2438  
Yahoo - Google == 0   19.733      8.124   2.429   0.0454 *
---
Signif. codes:  0 '***' 0.001 '**' 0.01 '*' 0.05 '.' 0.1 ' ' 1
(Adjusted p values reported -- holm method)

13.13.2 People judging social media posts after viewing clips (Another linear mixed model)

The file socialvalue.csv describes a study of people viewing a positive or negative film clip then going onto social media and judging the value (1 or 0) of the first hundred posts they see. The number of valued posts was recorded. Load the file and tell how many participated.

sv <- read_csv(paste0("data","/socialvalue.csv"))
sv<-within(sv,Subject<-factor(Subject))
sv<-within(sv,Clip<-factor(Clip))
sv<-within(sv,Social<-factor(Social))
sv<-within(sv,ClipOrder<-factor(ClipOrder))
sv<-within(sv,SocialOrder<-factor(SocialOrder))
summary(sv)
    Subject         Clip    ClipOrder      Social   SocialOrder     Valued    
 1      : 4   negative:32   1:32      Facebook:32   1:32        Min.   :13.0  
 2      : 4   positive:32   2:32      Twitter :32   2:32        1st Qu.:52.0  
 3      : 4                                                     Median :56.0  
 4      : 4                                                     Mean   :57.3  
 5      : 4                                                     3rd Qu.:67.0  
 6      : 4                                                     Max.   :95.0  
 (Other):40                                                                   
tail(sv)
# A tibble: 6 × 6
  Subject Clip     ClipOrder Social   SocialOrder Valued
  <fct>   <fct>    <fct>     <fct>    <fct>        <dbl>
1 15      negative 2         Facebook 2               60
2 15      negative 2         Twitter  1               62
3 16      positive 2         Facebook 2               34
4 16      positive 2         Twitter  1               61
5 16      negative 1         Facebook 1               59
6 16      negative 1         Twitter  2               70

How many more posts were valued on Facebook than on Twitter after seeing a positive clip?

out<-plyr::ddply(sv,~Clip*Social,summarize,ValuedAvg=mean(Valued))
out
      Clip   Social ValuedAvg
1 negative Facebook   46.3125
2 negative  Twitter   55.5625
3 positive Facebook   68.7500
4 positive  Twitter   58.5625
68.75-58.5625
[1] 10.1875

Conduct a linear mixed model analysis of variance on Valued by Social and Clip. Report the \(p\)-value of the interaction effect.

#. pacman::p_load(lme4) # for lmer
#. pacman::p_load(lmerTest)
#. pacman::p_load(car) # for Anova
contrasts(sv$Social) <- "contr.sum"
contrasts(sv$Clip) <- "contr.sum"
m <- lmer(Valued ~ (Social * Clip) + (1|Subject), data=sv)
boundary (singular) fit: see help('isSingular')
Anova(m, type=3, test.statistic="F")
Analysis of Deviance Table (Type III Wald F tests with Kenward-Roger df)

Response: Valued
                   F Df Df.res              Pr(>F)    
(Intercept) 839.2940  1     15 0.00000000000001392 ***
Social        0.0140  1     45            0.906195    
Clip         10.3391  1     45            0.002413 ** 
Social:Clip   6.0369  1     45            0.017930 *  
---
Signif. codes:  0 '***' 0.001 '**' 0.01 '*' 0.05 '.' 0.1 ' ' 1

Conduct planned pairwise comparisons of how the clips may have influenced judgments about the value of social media. Report whether the number of valued posts differed after seeing a positive versus negative clip.

#. pacman::p_load(multcomp) # for glht
#. pacman::p_load(emmeans) # for lsm
summary(glht(m, lsm(pairwise ~ Social * Clip)),test=adjusted(type="none"))
Note: df set to 45

     Simultaneous Tests for General Linear Hypotheses

Fit: lmer(formula = Valued ~ (Social * Clip) + (1 | Subject), data = sv)

Linear Hypotheses:
                                           Estimate Std. Error t value Pr(>|t|)
Facebook negative - Twitter negative == 0    -9.250      5.594  -1.654 0.105175
Facebook negative - Facebook positive == 0  -22.438      5.594  -4.011 0.000225
Facebook negative - Twitter positive == 0   -12.250      5.594  -2.190 0.033759
Twitter negative - Facebook positive == 0   -13.188      5.594  -2.357 0.022810
Twitter negative - Twitter positive == 0     -3.000      5.594  -0.536 0.594397
Facebook positive - Twitter positive == 0    10.188      5.594   1.821 0.075234
                                              
Facebook negative - Twitter negative == 0     
Facebook negative - Facebook positive == 0 ***
Facebook negative - Twitter positive == 0  *  
Twitter negative - Facebook positive == 0  *  
Twitter negative - Twitter positive == 0      
Facebook positive - Twitter positive == 0  .  
---
Signif. codes:  0 '***' 0.001 '**' 0.01 '*' 0.05 '.' 0.1 ' ' 1
(Adjusted p values reported -- none method)
p.adjust(c(0.00017,0.59374),method="holm")
[1] 0.00034 0.59374

13.13.3 People watching teasers in different orders and judging (Yet another linear mixed model)

The file teaser.csv describes a study in which people watched teasers for different genres and reported whether they liked them. Load the file and tell the number of participants.

te <- read_csv(paste0("data","/teaser.csv"))
te<-within(te,Subject<-factor(Subject))
te<-within(te,Order<-factor(Order))
te<-within(te,Teaser<-factor(Teaser))
tail(te)
# A tibble: 6 × 4
  Subject Teaser   Order Liked
  <fct>   <fct>    <fct> <dbl>
1 19      thriller 4         1
2 20      action   3         1
3 20      comedy   2         0
4 20      horror   4         0
5 20      romance  1         0
6 20      thriller 5         1
par(pin=c(2.75,1.25),cex=0.5)
boxplot(Liked~Teaser,data=te)

Investigate order effects.

contrasts(te$Order) <- "contr.sum"
m <- glmer(Liked ~ Order + (1|Subject), data=te, family=binomial, nAGQ=0)
boundary (singular) fit: see help('isSingular')
Anova(m, type=3)
Analysis of Deviance Table (Type III Wald chisquare tests)

Response: Liked
             Chisq Df Pr(>Chisq)
(Intercept) 1.0392  1     0.3080
Order       3.9205  4     0.4169

Conduct a linear mixed model analysis of variance.

contrasts(te$Teaser) <- "contr.sum"
m <- glmer(Liked ~ Teaser + (1|Subject), data=te, family=binomial, nAGQ=0)
boundary (singular) fit: see help('isSingular')
Anova(m, type=3)
Analysis of Deviance Table (Type III Wald chisquare tests)

Response: Liked
             Chisq Df Pr(>Chisq)    
(Intercept)  1.209  1     0.2715    
Teaser      26.695  4 0.00002291 ***
---
Signif. codes:  0 '***' 0.001 '**' 0.01 '*' 0.05 '.' 0.1 ' ' 1
#. pacman::p_load(multcomp)
summary(glht(m, mcp(Teaser="Tukey")),
    test=adjusted(type="holm")) # Tukey means compare all pairs

     Simultaneous Tests for General Linear Hypotheses

Multiple Comparisons of Means: Tukey Contrasts


Fit: glmer(formula = Liked ~ Teaser + (1 | Subject), data = te, family = binomial, 
    nAGQ = 0)

Linear Hypotheses:
                        Estimate Std. Error z value Pr(>|z|)    
comedy - action == 0     -3.7917     1.1361  -3.337 0.006763 ** 
horror - action == 0     -5.1417     1.2681  -4.054 0.000502 ***
romance - action == 0    -2.5390     1.1229  -2.261 0.118786    
thriller - action == 0   -1.5581     1.1684  -1.334 0.389097    
horror - comedy == 0     -1.3499     0.8909  -1.515 0.389097    
romance - comedy == 0     1.2528     0.6682   1.875 0.243191    
thriller - comedy == 0    2.2336     0.7420   3.010 0.018279 *  
romance - horror == 0     2.6027     0.8740   2.978 0.018279 *  
thriller - horror == 0    3.5835     0.9317   3.846 0.001080 ** 
thriller - romance == 0   0.9808     0.7217   1.359 0.389097    
---
Signif. codes:  0 '***' 0.001 '**' 0.01 '*' 0.05 '.' 0.1 ' ' 1
(Adjusted p values reported -- holm method)

13.13.4 Finding number of unique words used in posts by males and females (A generalized linear mixed model)

The file vocab.csv describes a study in which 50 posts by males and females were analyzed for the number of unique words used. Load the file and tell the number of participants.

vo <- read_csv(paste0("data","/vocab.csv"))
vo<-within(vo,Subject<-factor(Subject))
vo<-within(vo,Sex<-factor(Sex))
vo<-within(vo,Order<-factor(Order))
vo<-within(vo,Social<-factor(Social))
tail(vo)
# A tibble: 6 × 5
  Subject Sex   Social   Order Vocab
  <fct>   <fct> <fct>    <fct> <dbl>
1 29      M     Facebook 3        46
2 29      M     Twitter  1        38
3 29      M     Gplus    2        22
4 30      F     Facebook 3       103
5 30      F     Twitter  2        97
6 30      F     Gplus    1        92

Create an interaction plot and see how often the lines cross.

par(pin=c(2.75,1.25),cex=0.5)
with(vo,interaction.plot(Social,Sex,Vocab,ylim=c(0,max(vo$Vocab))))

Perform Kolmogorov-Smirnov goodness-of-fit tests on Vocab for each level of Social using exponential distributions.

#. pacman::p_load(MASS)
fit = fitdistr(vo[vo$Social == "Facebook",]$Vocab, "exponential")$estimate
ks.test(vo[vo$Social == "Facebook",]$Vocab, "pexp", rate=fit[1], exact=TRUE)
Warning in ks.test.default(vo[vo$Social == "Facebook", ]$Vocab, "pexp", : ties
should not be present for the Kolmogorov-Smirnov test

    Exact one-sample Kolmogorov-Smirnov test

data:  vo[vo$Social == "Facebook", ]$Vocab
D = 0.17655, p-value = 0.2734
alternative hypothesis: two-sided
fit = fitdistr(vo[vo$Social == "Twitter",]$Vocab, "exponential")$estimate
ks.test(vo[vo$Social == "Twitter",]$Vocab, "pexp", rate=fit[1], exact=TRUE)
Warning in ks.test.default(vo[vo$Social == "Twitter", ]$Vocab, "pexp", rate =
fit[1], : ties should not be present for the Kolmogorov-Smirnov test

    Exact one-sample Kolmogorov-Smirnov test

data:  vo[vo$Social == "Twitter", ]$Vocab
D = 0.099912, p-value = 0.8966
alternative hypothesis: two-sided
fit = fitdistr(vo[vo$Social == "Gplus",]$Vocab, "exponential")$estimate
ks.test(vo[vo$Social == "Gplus",]$Vocab, "pexp", rate=fit[1], exact=TRUE)

    Exact one-sample Kolmogorov-Smirnov test

data:  vo[vo$Social == "Gplus", ]$Vocab
D = 0.14461, p-value = 0.5111
alternative hypothesis: two-sided

Use a generallized linear mixed model to conduct a test of order effects on Vocab.

contrasts(vo$Sex) <- "contr.sum"
contrasts(vo$Order) <- "contr.sum"
m <- glmer(Vocab ~ Sex*Order + (1|Subject), data=vo, family=Gamma(link="log"))
Anova(m, type=3)
Analysis of Deviance Table (Type III Wald chisquare tests)

Response: Vocab
                Chisq Df          Pr(>Chisq)    
(Intercept) 1179.0823  1 <0.0000000000000002 ***
Sex            1.3687  1              0.2420    
Order          0.7001  2              0.7047    
Sex:Order      2.0655  2              0.3560    
---
Signif. codes:  0 '***' 0.001 '**' 0.01 '*' 0.05 '.' 0.1 ' ' 1

Conduct a test of Vocab by Sex and Social using a generalized linear mixed model.

contrasts(vo$Sex) <- "contr.sum"
contrasts(vo$Social) <- "contr.sum"
m = glmer(Vocab ~ Sex*Social + (1|Subject), data=vo, family=Gamma(link="log"))
Anova(m, type=3)
Analysis of Deviance Table (Type III Wald chisquare tests)

Response: Vocab
                Chisq Df            Pr(>Chisq)    
(Intercept) 1172.6029  1 < 0.00000000000000022 ***
Sex            0.7925  1                0.3733    
Social        26.2075  2           0.000002038 ***
Sex:Social     0.3470  2                0.8407    
---
Signif. codes:  0 '***' 0.001 '**' 0.01 '*' 0.05 '.' 0.1 ' ' 1

Perform post hoc pairwise comparisons among levels of Social adjusted with Holm’s sequential Bonferroni procedure.

#. pacman::p_load(multcomp)
summary(glht(m, mcp(Social="Tukey")),
    test=adjusted(type="holm")) # Tukey means compare all pairs
Warning in mcp2matrix(model, linfct = linfct): covariate interactions found --
default contrast might be inappropriate

     Simultaneous Tests for General Linear Hypotheses

Multiple Comparisons of Means: Tukey Contrasts


Fit: glmer(formula = Vocab ~ Sex * Social + (1 | Subject), data = vo, 
    family = Gamma(link = "log"))

Linear Hypotheses:
                        Estimate Std. Error z value  Pr(>|z|)    
Gplus - Facebook == 0     0.8676     0.2092   4.148 0.0000672 ***
Twitter - Facebook == 0  -0.1128     0.2026  -0.556     0.578    
Twitter - Gplus == 0     -0.9803     0.2071  -4.734 0.0000066 ***
---
Signif. codes:  0 '***' 0.001 '**' 0.01 '*' 0.05 '.' 0.1 ' ' 1
(Adjusted p values reported -- holm method)

13.13.5 Judging search effort among different search engines (Another generalized linear mixed model)

Recode Effort from websearch3.csv as an ordinal response.

ws<-within(ws,Effort<-factor(Effort))
ws<-within(ws,Effort<-ordered(Effort))
summary(ws)
    Subject      Engine   Order     Searches     Effort
 1      : 3   Bing  :30   1:30   Min.   : 92.0   1: 6  
 2      : 3   Google:30   2:30   1st Qu.:139.0   2: 8  
 3      : 3   Yahoo :30   3:30   Median :161.0   3:19  
 4      : 3                      Mean   :161.6   4:16  
 5      : 3                      3rd Qu.:181.8   5:16  
 6      : 3                      Max.   :236.0   6:15  
 (Other):72                                      7:10  

Conduct an ordinal logistic regression to determine Effort by Engine, using a generalized linear mixed model.

pacman::p_load(ordinal) # provides clmm
pacman::p_load(RVAideMemoire) # provides Anova.clmm
ws2<-data.frame(ws)
m<-clmm(Effort~Engine + (1|Subject),data=ws2)
Anova.clmm(m,type=3)
Analysis of Deviance Table (Type III tests)

Response: Effort
       LR Chisq Df Pr(>Chisq)  
Engine    8.102  2     0.0174 *
---
Signif. codes:  0 '***' 0.001 '**' 0.01 '*' 0.05 '.' 0.1 ' ' 1

Perform pairwise comparisons of Engine on Effort.

par(pin=c(2.75,1.25),cex=0.5)
plot(as.numeric(Effort) ~ Engine,data=ws2)

pacman::p_load(lme4)
pacman::p_load(multcomp)
m <- lmer(as.numeric(Effort)~Engine + (1|Subject), data=ws2)
boundary (singular) fit: see help('isSingular')
summary(glht(m,mcp(Engine="Tukey")),test=adjusted(type="holm"))

     Simultaneous Tests for General Linear Hypotheses

Multiple Comparisons of Means: Tukey Contrasts


Fit: lmer(formula = as.numeric(Effort) ~ Engine + (1 | Subject), data = ws2)

Linear Hypotheses:
                    Estimate Std. Error z value Pr(>|z|)  
Google - Bing == 0  -0.03333    0.42899  -0.078   0.9381  
Yahoo - Bing == 0    1.10000    0.42899   2.564   0.0247 *
Yahoo - Google == 0  1.13333    0.42899   2.642   0.0247 *
---
Signif. codes:  0 '***' 0.001 '**' 0.01 '*' 0.05 '.' 0.1 ' ' 1
(Adjusted p values reported -- holm method)